立即注册找回密码

QQ登录

只需一步,快速开始

微信登录

微信扫一扫,快速登录

搜索
小桔灯网 门户 资讯中心 专家视角 查看内容

沈锋教授:勇攀高峰!ASAP模型不断突破中国肝癌风险人群筛查的深度和广度 ...

2023-7-24 10:01| 编辑: 沙糖桔| 查看: 4245| 评论: 0|来源: 国际肝病 | 作者:沈锋

摘要: 我国是肝癌大国,肝癌的发病率和死亡率约占全球一半



编者按

我国是肝癌大国,肝癌的发病率和死亡率约占全球一半,及早识别高危人群并对肝癌做出早期诊断是提高患者总体生存率的关键。自1929年维生素K发现以来,研究者们陆续证实因其缺乏产生的血清异常凝血酶原在肝癌诊断上的重要作用。2019年,海军军医大学第三附属医院(上海东方肝胆外科医院)沈锋教授及团队携手国内其他顶尖医院团队,建立并验证了ASAP风险预测模型[1]。此后,ASAP模型不断突破乙肝病因相关肝癌的预测限制,在丙肝相关肝癌预测以及非酒精性脂肪肝相关肝癌预测以及在早期肝癌复发诊断上捷报频传。

2023年6月,ASAP模型更因对中国临床实践的突出贡献,而荣获“UNIVANTS卓越医疗奖”[2]。此外,中国台湾学者于同月发布ASAP模型预测未经治疗慢乙肝患者1年内肝癌发生风险的高性能,AUROC高达90%,进一步挖掘ASAP临床价值和拓宽适用范围。所以,近日可谓喜讯连连。为此,《国际肝病》特邀沈锋教授回顾PIVKA-Ⅱ和ASAP发展,点评最新进展,尤其是在中国人群的探索,并展望其未来临床应用


01

ASAP模型发展概览



1929年,丹麦生物学家Henrik Dam发现维生素K,并因此获得1943年诺贝尔奖[3]


1968年,Ganro PO和Niléhn JE发现维生素K缺乏会产生血清异常凝血酶原(PIVKA,Protein Induced by Vitamin K Absence or Antagonist,DCP,Des-gamma-carboxy [abnormal] prothrombin,脱-γ-羧基凝血酶原)[4]

1984年,Liebman HA首次发现大多数肝细胞癌(HCC)患者PIVKA-Ⅱ水平升高,可作为HCC诊断的生物标志物[5]


1994年,Suehiro T首次证实PIVKA-Ⅱ可作为HCC预后预测的生物标志物[6]

2011年,中国卫生部颁布的《原发性肝癌诊疗规范(2011年版)》,推荐PIVKA-Ⅱ作为辅助诊断肿瘤标志物之一[7]


2014年,日本肝病学会建议对极高危肝癌人群采用甲胎蛋白(AFP)、PIVKA-Ⅱ、甲胎蛋白异质体(AFP-L3)联合影像检查作为监测方案[8]


2016年,雅培在中国上市PIVKA-II检测标志物。


2018年,雅培PIVKA-II检测标志物的中国人群参考区间发布,95分位上限为40.38 mAU/ml。

2019年,沈锋教授团队携手中国11家知名三甲医院共同研究并成功开发ASAP肝癌风险评估模型,纳入年龄(Age)、性别(Sex)、血清甲胎蛋白(AFP)水平、血清异常凝血酶原(PIVKA-II)水平四个因素,相关内容发表在检验学顶刊Clinical Chemistry杂志(IF:11.13)[1]


2020年,经沈锋教授、杨田教授许可,ASAP在线运算小程序上线,将这一重大科研成果无偿推广至临床实践中(网址为:http://www.asapcalculate.top/test.html

2020年,中国《原发性肝癌的分层筛查与监测指南(2020版)》建议联合PIVKA-Ⅱ检测以提高早期肝癌的检出率(B2级推荐)[9]


2022年,中国国家卫健委颁布的《原发性肝癌诊疗规范(2022年版)》推荐PIVKA-II作为肝癌早期诊断标志物用于临床(1A级推荐)[10]

2022年,赫捷院士等发布的《中国人群肝癌筛查指南(2022)》建议PIVKA-II等血清标志物可作为补充筛查技术,但尚不能完全替代超声(US)联合AFP检测(证据质量:中;推荐强度:强)[11]


2022年,上海东方肝胆外科医院沈锋教授、杨田教授团队陆续在SCI期刊发表文章,将ASAP逐步推向全部肝癌风险人群的筛查应用。

2023年6月,ASAP肝癌风险评估模型因在中国的优秀实践而荣获“Univants卓越医疗奖”[2],该奖项由全球领先的7家医疗学会组织(IFCC、AACC、EHMC、Modern Healthcare、HIMSS、NAHQ、IHE)共同评选并颁发。

02

量体裁衣,适用于中国人群的ASAP模型建立


中国是乙肝大国、也是肝癌大国,我国年新发肝癌患者约占全球一半。对我国HCC患者而言,约有84%由乙型肝炎病毒(HBV)感染所导至。我国一般人群HBsAg流行率为6.1%,慢性HBV感染者为8600万例[12]。因此,建立有效的评估模型,监测HBV感染者疾病发生与发展风险,实现疾病早筛、早诊、早治,进而避免HCC的发生非常重要。


2019年,上海东方肝胆外科医院沈锋教授团队牵头国内11家大型三甲医院,创建了首个适合广大国人的乙肝相关性肝癌诊断模型——ASAP模型,即以CHB患者为监测人群,纳入了患者年龄(Age)、性别(Sex)、血清甲胎蛋白(AFP)水平、血清异常凝血酶原(PIVKA-II)水平4个独立危险因素作为预测变量,用以预测CHB患者罹患原发性肝细胞癌的风险,相关内容以配发编辑部社论的形式发表在检验学顶刊Clincal Chemistry杂志(IF:11.13)[1]

图1. ASAP模型
参与建模的11家中心纳入2925例研究对象,将所有血液样本送至同一家检测中心检测,所有肝癌患者均经手术或病理活检确诊。其中2198例参与到训练队列用于建立模型,727例参与到验证队列用于验证模型。通过多因素分析筛选出年龄、性别、AFP、PIVKA-II为独立相关因素,并构建了ASAP诺莫图模型。验证结果显示,ASAP模型在训练队列的灵敏度为76.1%、特异度为90.4%,在验证队列中则分别为73.8%和90.0%,远远高于单用AFP或PIVKA-II的诊断效能。ASAP模型作为首个专门针对国人的预测模型,显示了极高的预测效能,具有极大应用价值,次年ASAP在线小程序上线,为临床应用提供了极大便利。

03

ASAP前沿动向:持续挖掘中国人群应用的深度和广度


1

AFP+PIVKA-II预测丙型肝炎病毒(HCV)相关HCC[13]


HCV感染者进展为HCC的5年风险为7%~14%,早期治疗5年总体生存(OS)率可达50%~80%,若进展到晚期,则不足10%。因此HCV-HCC的早筛、早诊能给患者带来极大获益。目前临床中最常用的生物标志物为AFP,诊断HCV-HCC的灵敏度为41%~65%和特异度为80%~94%。此外,PIVKA-II和AFP-L3也是临床研究中热门的检测方案。沈锋、杨田教授团队开展相关研究,在上述三种检测手段中寻找合适方案,以提升检测的灵敏度。



纳入172例HCV对照者和105例HCV-HCC患者。HCV-HCC患者的AFP、AFP-L3和PIVKA-II水平较HCV患者显著升高(P<0.001)。于BCLC和TNM分期定义的早期HCC患者中,在单独检测时,PIVKA-II显示出最佳的预测性能(AUC:PIVKA-II vs. AFP vs. AFP-L3=0.90 vs. 0.80 vs. 0.69,P<0.001);在搭配检测组中,PIVKA-II+AFP显示了最好的预测性能(AUC:PIVKA-II+AFP vs. AFP+AFP-L3 vs. PIVKA-II+AFP-L3=0.93 vs. 0.78 vs. 0.89,P<0.001),与三者组合的预测性能(AUC:AFP+AFP-L3+PIVKA-II 0.93,P=0.277)相比没有差异。因此,在常规AFP检测中加入PIVKA-II检测可能是更适合的检测手段。


图2. 三种血清生物标志物单独和联合评估HCV感染患者HCC的诊断性能[13]

2

ASAP模型可作为国人HCV-HCC预测手段[14]


在HCV-HCC的预测中,目前较为熟知的GALAD模型——由性别(Gender)、年龄(Age)、甲胎蛋白异质体(AFP-L3)、甲胎蛋白(AFP)和异常凝血酶原(DCP,即PVIKA-II)组成——较ASAP模型多了一个AFP-L3变量。沈锋、杨田教授团队对不含AFP-L3变量的ASAP模型诊断HCV-HCC的具体效能进行了分析。

研究纳入193例HCV对照者和168例HCV-HCC患者。HCV-HCC组与HCV对照组在年龄、性别、Child-Pugh分级和肝硬化、AFP、PIVKA-II和AFP-L3单一生物标志物方面以及ASAP和GALAD的评分方面均存在显著差异。与单一肿瘤标志物相比,ASAP评分和GALAD评分均表现出更好的诊断性能;且在全人群及肝硬化人群中,ASAP评分的诊断效能较GALAD评分存在优势趋势(AUC:0.917 vs. 0.894,P=0.057);进一步的早期HCC亚组、AFP阴性亚组分析中,ASAP评分同样展示了不劣于甚至优于GALAD的诊断效能。因此,ASAP评分可能更加适合于中国慢性丙型肝炎患者进行肝癌筛查和监测,更具有卫生经济效益。

图3. ASAP模型预测中国HCV-HCC的性能

A:整组;B:肝硬化亚组


3

AFP+PIVKA-II预测非酒精性脂肪性肝病(NAFLD)相关HCC[15]


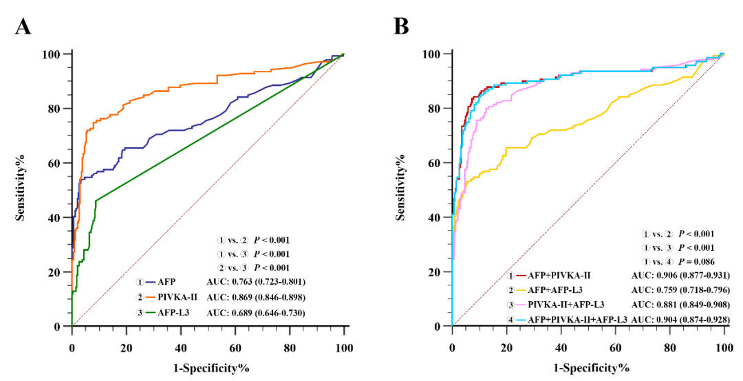
NAFLD已成为全球HCC的主要病因之一,而当前以超声为主的肝癌监测策略在肝炎、肝硬化以及NAFLD等高危人群中的筛查效能仍不理想。肝癌生物标志物检测在临床的广泛应用为风险检测带来了极大助益。杨田教授团队评估了中国患者使用AFP、PIVKA-II和AFP-L3三种生物标志物单独或联合诊断NAFLD-HCC的诊断性能。



研究纳入345例NAFLD对照者,139例NAFLD-HCC者。研究显示,NAFLD-HCC者较NAFLD患者的AFP、PIVKA-II和AFP-L3的中位数水平更高,P<0.001。在单个生物标志物检测中,PIVKA-II的诊断性能优于AFP(AUC:0.869 vs. 0.763,P<0.001)和AFP-L3(AUC:0.869 vs. 0.689,P<0.001);在组合检测中,AFP+PIVKA-II的表现最佳(AUC:AFP+PIVKA-II vs. AFP+PIVKA-II+AFP-L3 vs. PIVKA-II+AFP-L3 vs. AFP+AFP-L3 0.906 vs. 0.904 vs. 0.881 vs. 0.759),AFP-L3的加入并未提高诊断性能(AUC:0.904,P=0.086)。此外,在非肝硬化亚组和早期肝癌亚组的分析中也得出了类似的结果,从而弥补了中国人群数据的空白,为临床提供了新的检测组合。


图4. 三种生物标志物单独或联合诊断NAFLD-HCC的性能

此外,沈锋、杨田教授团队还比较了ASAP模型与GALAD模型用于NAFLD-HCC的诊断效能,包括灵敏度、特异度、阳性预测值、阴性预测值、诊断准确率等指标。在2022年第31届亚太肝脏研究学会(APASL)年会上,杨田教授应邀以口头报告的形式对该项研究进行了介绍[16]


该研究结果表明:两个联合诊断模型对中国人群NAFLD-HCC(无论所有分期还是早期)的诊断效能均高于任何单一肝癌血清标志物(AFP、AFP-L3、PIVKA-II);更重要的是,ASAP模型对中国人群NAFLD-HCC的诊断效能优于或不劣于GALAD模型。鉴于ASAP模型比GALAD模型还可以少一个AFP-L3的检测,这大大降低了检测成本,且ASAP模型得到的诊断效能与GALAD模型表现同样优异,因此,ASAP模型更加适合于中国NAFLD患者进行肝癌筛查和监测。


4

PIVKA-II和ASAP预测未经治疗CHB患者1年内HCC风险[17]


ASAP模型不断被中国大陆以外的地区和国家接受和使用。2023年6月,Am J Cancer Res报道了一项由中国台湾学者完成的回顾性病例对照研究,其结果表明PIVKA-II水平和ASAP评分均具有较高的预测未经治疗非肝硬化CHB患者1年内罹患HCC的性能,尤其是在甲胎蛋白水平正常的患者中,ASAP评分的受试者工作特征曲线下面积(AUROC)高达90%,为ASAP模型惠及更多患者提供了证据补充。


研究自中国台湾大学医院纳入接受随访的未经治疗的非肝硬化CHB患者,包括69例HCC患者(HCC组)和102例非HCC患者(对照组),检测HCC发生前1年、HCC确诊时或最后一次随访时的血清样本中的PIVKA-II水平。HCC组的基线PIVKA-II水平显著高于对照组(36 vs. 24 mAU/mL,P=0.013),HCC组的ASAP评分亦显著高于对照组(0.48 vs. 0.25,P<0.001)。PIVKA-II水平和ASAP评分均可预测1年内HCC的发生,PIVKA-II的AUROC为0.76(95%CI:0.68~0.94),ASAP评分的AUROC为0.90(95%CI:0.85~0.95),ASAP评分在AFP水平<20 ng/mL患者中的AUROC为0.89(95%CI:0.83~0.95),详见图5。PIVKA-II预测1年内HCC发生的最佳临界值为31 mAU/mL,灵敏度为65%,特异度为83%;ASAP评分预测1年内HCC发生的最佳临界值为0.31,灵敏度为92.5%,特异度为71.7%。

图5. ASAP预测未经治疗CHB患者1年内HCC发生风险的ROC曲线[17]
a:所有受试者,b:AFP<20 ng/mL人群

5

PIVKA-II预测术后复发风险[18]


对于早期HCC患者而言,约有50%的患者会在术后复发,因此有效评估患者复发风险,及时予以诊断治疗非常重要。目前AFP是HCC复发风险预测中应用最为广泛的生物标志物,但其所采用20 ng/ml阈值灵敏度仅为60%,略显不足。正在兴起的PIVKA-II采用40 mAU/ml阈值的灵敏度可超过90%,已逐渐成为HCC筛查和诊断的标准生物标志物。


沈锋、杨田教授团队进一步探索PIVKA-II预测术后复发风险的可能性,纳入接受HCC手术治疗的患者,于术前一周内或检测到复发时检测患者血清AFP和PIVKA-II水平。在经过长期随访后发现,早期复发患者中PIVKA-II阳性患者比例较AFP阳性患者更高,且二者差异具有统计学意义。多因素分析表明,术前PIVKA-II阳性(而非术前AFP阳性)是HCC术后早期复发的独立高危因素。因此,术前PIVKA-II阳性对预测HCC术后复发具临床实践意义

图6. PIVKA-II对比AFP用于预测HCC术后复发风险[18]


总结与展望

在一百年来对维生素K及其PIVKA-II的不断探索中,肝癌的预测领域显示出了其卓越的生命力。基于PIVKA-II的应用及ASAP模型的发展与成熟,对于中国人群HBV、HCV、NAFLD等病因导至的HCC的预测与诊断日臻完善。目前,ASAP模型已在我国全国范围内被广泛应用,成为肝癌高危人群进行体检筛查和血清学诊断的常规检测项目之一,收获了临床医生和检验医生的高度好评。

此外,凭借基于ASAP模型设计的智能信息解决方案(AlinIQ AMS),ASAP进一步走向国际舞台,荣获“Univants卓越医疗奖”。该项基于智能信息系统的ASAP模型不仅可预测早期肝癌的发生风险,而且可优化肝癌的诊疗路径,临床诊治有效性因此得到极大提高,是一种有效且较具前景的癌症预防策略和多学科协作工具。

未来,希望PIVKA-II和ASAP模型勇攀高峰,继续为我国肝癌的早筛、早诊和早治作出贡献,积极推动优化早期肝癌诊断路径,促进多学科紧密协作,助力中国卓越医疗实践再登世界舞台,不断挖掘早筛早诊的深度和广度,惠及全球更多肝癌风险人群!

参考文献:(上下滑动查看更多)

[1] Yang T, Xing H, Wang G, et al. A Novel Online Calculator Based on Serum Biomarkers to Detect Hepatocellular Carcinoma among Patients with Hepatitis B. Clin Chem. 2019 Dec;65(12):1543-1553. doi: 10.1373/clinchem.2019.308965. Epub 2019 Oct 31. PMID: 31672853.[2] UNIVANTS of Healthcare Excellence | 2021-Winners (univantshce.com).[3] Olson RE. The function and metabolism of vitamin K[J]. Annual review of nutrition, 1984, 4(1): 281-337.[4] Ganrot PO, Niléhn JE. Plasma prothrombin during treatment with Dicumarol. II. Demonstration of an abnormal prothrombin fraction. Scand J Clin Lab Invest. 1968;22(1):23-28.[5] Liebman HA, Furie BC, Tong MJ, et al. Des-gamma-carboxy (abnormal) prothrombin as a serum marker of primary hepatocellular carcinoma. N Engl J Med. 1984;310(22):1427-1431. doi:10.1056/NEJM198405313102204.[6] Suehiro T, Sugimachi K, Matsumata T, et al. Protein induced by vitamin K absence or antagonist II as a prognostic marker in hepatocellular carcinoma. Comparison with alpha‐fetoprotein[J]. Cancer, 1994, 73(10): 2464-2471.[7] 中华人民共和国卫生部. 原发性肝癌诊疗规范(2011年版)[J].临床肝胆病杂志, 2011年第11期1141-1159.[8] Kudo M, Matsui O, Izumi N, et al. JSH Consensus-Based Clinical Practice Guidelines for the Management of Hepatocellular Carcinoma: 2014 Update by the Liver Cancer Study Group of Japan. Liver Cancer. 2014;3(3-4):458-468. doi:10.1159/000343875[9] 中华预防医学会肝胆胰疾病预防与控制专业委员会等. 原发性肝癌的分层筛查与监测指南(2020版). 临床肝胆病杂志 37.2(2021):10.[10] 国家卫生健康委办公厅,国卫办医函〔2022〕12号, http://www.nhc.gov.cn/yzygj/s7659/202201/a01ceb75c62b486fa459e36ba0fdfdbc.shtml[11] 赫捷,陈万青,沈洪兵,等.中国人群肝癌筛查指南(2022,北京)[J].中国肿瘤, 2022, 31(8):45.DOI:10.3760/cma.j.cn112152-20220720-00502.[12] 中华医学会肝病学分会, 中华医学会感染病学分会. 慢性乙型肝炎防治指南(2022年版)[J]. 中华肝脏病杂志, 2022, 30(12): 1309-1331.[13] Liu S, Sun L, Yao L, et al. Diagnostic Performance of AFP, AFP-L3, or PIVKA-II for Hepatitis C Virus-Associated Hepatocellular Carcinoma: A Multicenter Analysis[J]. Journal of Clinical Medicine, 2022, 11(17): 5075.[14] Liu SY, Li C, Sun LY, et al. ASAP Score versus GALAD Score for detection of hepatitis C-related hepatocellular carcinoma: A multicenter case-control analysis[J]. Frontiers in Oncology, 2022, 12: 1018396.[15] Guan MC, Ouyang W, Liu SY, et al. Alpha-fetoprotein, protein induced by vitamin K absence or antagonist-II, lens culinaris agglutinin-reactive fraction of alpha-fetoprotein alone and in combination for early detection of hepatocellular carcinoma from nonalcoholic fatty liver disease: A multicenter analysis[J]. Hepatobiliary & Pancreatic Diseases International, 2022, 21(6): 559-568.[16] Ouyang W, Liu SY, Guan MC, et al. Multi-institutional performance comparisons of two biomarker-based panels (ASAP Model and GALAD Score) for Early Diagnosis of Hepatocellular Carcinoma in Nonalcoholic Fatty Liver Disease. APASL 2022. Abstract OP-0192.[17] Lu YC, Su TH, Tseng TC, et al. High PIVKA-II level and ASAP score predict 1-year risk of hepatocellular carcinoma in non-cirrhotic chronic hepatitis B patients. Am J Cancer Res. 2023 Jun 15;13(6):2588-2597.[18] Wang MD, Sun LY, Qian GJ, et al. Prothrombin induced by vitamin K Absence-II versus alpha-fetoprotein in detection of both resectable hepatocellular carcinoma and early recurrence after curative liver resection: A retrospective cohort study[J]. International Journal of Surgery, 2022, 105: 106843.



专家简介

沈锋

海军军医大学第三附属医院临床研究院院长,肝外四科主任,主任医师、教授。上海市政协委员。师从吴孟超院士,从事肝胆外科30余年,擅长肝癌和肝内胆管癌的外科治疗。获何梁何利基金会科学与技术进步奖,以第一完成人获国家科技进步二等奖,上海市科技进步一等奖(2项)等20余项科技奖励。J Clin Oncol, JAMA Oncol, Nat Med, Gut, J Hepatol, Hepatology, JAMA Surg,Ann Surg等国际权威性学术刊物发表SCI论著280余篇;主编专著《肝癌》,担任《黄家驷外科学》第八版副主编,Inter J Surg杂志副主编。担任国际肝胆胰协会(IHPBA)理事、亚太肝胆胰协会(A-PHPBA)理事兼秘书长、亚太肝脏外科发展委员会(APHAB)主席团副主席、国家卫健委《肝癌诊疗规范》编写专家委员会副主委、中国临床肿瘤学会(CSCO)肝癌专家委员会主委、中国临床肿瘤学会(CSCO)胆道肿瘤专家委员会候任主委、中华医学会外科学分会肝脏学组副组长、全军肝胆外科专业委员会主委。被评为全军科技领军人才、上海市十大科技精英、上海市领军人才和上海市优秀学科带头人;享受政府特殊津贴。



专家简介

杨田 

海军军医大学第三附属医院(东方肝胆外科医院),肝外二科副主任、中心实验室主任
中国临床肿瘤学会(CSCO)青年委员会常务委员、肝癌专家委员会委员原国际肝胆胰协会(IHPBA)、亚太肝胆胰协会(A-PHPBA) 学术委员会官方委员师从吴孟超院士,纽约西奈山医学院临床高级访问学者,获国际肝脏外科专科培训证书Frontiers in Immunology, HPB, JCTH, 中华消化外科杂志等 21 本国内外专业期刊编委
上海市优秀学术带头人、卫生健康学科带头人、军队青年科技英才、上海市曙光学者、上海市杰出青年医学人才、上海市浦江人才、上海市青年拔尖人才、上海市青年科技启明星、上海市卫生系统优秀青年人才、军队优秀专业技术人才、海军军医大学深蓝“领航”人才首届人民好医生“金山茶花”杰出贡献金奖、上海市“银蛇奖”、全国吴孟超医学青年奖


声明:
1、凡本网注明“来源:小桔灯网”的所有作品,均为本网合法拥有版权或有权使用的作品,转载需联系授权。
2、凡本网注明“来源:XXX(非小桔灯网)”的作品,均转载自其它媒体,转载目的在于传递更多信息,并不代表本网赞同其观点和对其真实性负责。其版权归原作者所有,如有侵权请联系删除。
3、所有再转载者需自行获得原作者授权并注明来源。

最新评论

关闭

官方推荐 上一条 /3 下一条

客服中心 搜索 洽谈合作
返回顶部