立即注册找回密码

QQ登录

只需一步,快速开始

微信登录

微信扫一扫,快速登录

搜索
小桔灯网 门户 资讯中心 杂侃天下 查看内容

医疗器械病例数的计算

2020-9-21 13:52| 编辑: 沙糖桔| 查看: 2704| 评论: 0|来源: 西格玛医学 | 作者:西格玛

摘要: 医疗器械临床试验开展多少病例数,需要从法规、产品、设计等的几个角度去综合考虑。本文从法规、历年发补的统计问题、设计等角度,参考指导原则进行部分举例。一、法规上医疗器械病例数的要求1.1《医疗器械临床试验 ...

       医疗器械临床试验开展多少病例数,需要从法规、产品、设计等的几个角度去综合考虑。本文从法规、历年发补的统计问题、设计等角度,参考指导原则进行部分举例。


一、法规上医疗器械病例数的要求

1.1医疗器械临床试验质量管理规范

第二十七条未在境内外批准上市的新产品,安全性以及性能尚未经医学证实的,临床试验方案设计时应当先进行小样本可行性试验,待初步确认其安全性后,再根据统计学要求确定样本量开展后续临床试验。

1.2产品注册指导原则

对于有指导原则的产品,可以参考指导原则。虽然有指导原则,具体还是要根据产品的特点、特性进行评估。

例如:某指导原则对于样本量要求:样本量根据受试产品的临床试验设计类型、主要评价指标等因素来确定。需详细写明样本量估算采用的软件或公式,以及公式中的所有参数及其估计值,还应结合临床实际情况考虑试验对象的可能脱落率等因素。对于非劣效试验设计,应由临床专家和统计学家事先给出具有临床意义的非劣效界值。对于单组目标值设计,亦需明确给出目标值确定的合理依据。

所以具体多少例还是要根据产品特点、设计类型,设计方法、主要疗效终点多方位因素进行统计计算。 


二、历年注册时,CMDE提出的医疗器械方案病例数的问题

 2.1 未提供样本量的具体计算过程及确定依据。

2.2未提供样本量计算公式中各参数的确定依据,:非劣效界值。

2.3未提供临床随访时间的确定依据。

2.4未明确主要评价指标、次要评价指标及其相关依据。

2.5未明确主要终点指标及时间窗的选择依据。

可见CFDA对于病例数还是很重视的,千万要重视。 


三、设计角度病例数的计算公式

3.1《医疗器械临床试验设计指导原则》

临床试验收集受试人群中的疗效/安全性数据,用统计分析将基于主要评价指标的试验结论推断到与受试人群具有相同特征的目标人群。为实现样本(受试人群)代替总体(目标人群)的目的,临床试验需要一定的受试者数量(样本量)。样本量大小与主要评价指标的变异度呈正相关,与主要评价指标的组间差异呈负相关。

样本量一般以临床试验的主要评价指标进行估算。需在临床试验方案中说明样本量估算的相关要素及其确定依据、样本量的具体计算方法。后文提供了样本量估算公式的样例,供参考。确定样本量的相关要素一般包括临床试验的设计类型和比较类型、主要评价指标的类型和定义、主要评价指标有临床实际意义的界值、主要评价指标的相关参数(如预期有效率、均值、标准差等)、Ⅰ类和Ⅱ类错误率以及预期的受试者脱落和方案违背的比例等。主要评价指标的相关参数根据已有临床数据和小样本可行性试验(如有)的结果来估算,需要在临床试验方案中明确这些估计值的确定依据。一般情况下,Ⅰ类错误概率α设定为双侧0.05或单侧0.025,Ⅱ类错误概率β设定为不大于0.2,预期受试者脱落和方案违背的比例不大于0.2,申请人可根据产品特征和试验设计的具体情形采用不同的取值,需充分论证其合理性。

3.2计算公式

决定样本量的关键因素有:产品特点、研究类型、主要评价指标、对照组与试验组主要评价指标的预期疗效、非劣效界值或目标值、显著性水平(α)、把握度(β)、预期失访率等。 

3.2.1 平行对照设计样本量估算

      以下公式中,nT、nC分别为试验组和对照组的样本量;Z1-α/2、Z1-β为标准正态分布的分数位,当α=0.05时,Z1-α/2=1.96,当β=0.2时,Z1-β=0.842;(Z1-α/2+Z1-β2=7.85

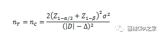
(一)优效性试验

当试验组和对照组按照1:1随机化分组,主要评价指标为事件发生率,其方差齐且不接近于0%或100%时,其样本量估算公式为:

PT、PC分别为试验组和对照组预期事件发生率;为两组预期率差的绝对值, = ;Δ为优效性界值,取正值。

当试验组和对照组按照1:1随机化分组,主要评价指标为定量指标且方差齐时,其样本量估算公式为:

σ为对照组预期标准差;为预期的两组均数之差的绝对值, = ;Δ为优效性界值,取正值。

使用该公式计算样本量为Z值计算的结果,小样本时宜使用t值迭代,或总例数增加2—3例。

(二)等效性试验

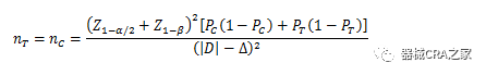
当试验组和对照组按照1:1随机化分组,主要评价指标为事件发生率,其方差齐且不接近于0%或100%时,其样本量估算公式为: 

PT、PC分别为试验组和对照组预期事件发生率;为两组预期率差的绝对值, = ;∆为等效界值(适用于劣侧界值与优侧界值相等的情形),取正值。

当试验组和对照组按照1:1随机化分组,主要评价指标为定量指标且方差齐时,其样本量估算公式为:

σ为对照组预期标准差;为预期的两组均数之差的绝对值, = ;∆为等效界值(适用于劣侧界值与优侧界值相等的情形),取正值。

使用该公式计算样本量为Z值计算的结果,小样本时宜使用t值迭代,或总例数增加2—3例。

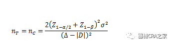
(三)非劣效试验

当试验组和对照组按照1:1随机化分组,主要评价指标为预期事件发生率,其方差齐且不接近于0%或100%时,其样本量估算公式为:

 

PT、PC分别为试验组和对照组预期事件发生率;为两组预期率差的绝对值, = ,∆为非劣效界值,取负值。

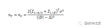
当试验组和对照组按照1:1随机化分组,主要评价指标为定量指标且方差齐时,其样本量估算公式为:

 

 

σ为对照组预期标准差;为预期的两组均数之差的绝对值, = ;∆为非劣效界值,取负值。

使用该公式计算样本量为Z值计算的结果,小样本时宜使用t值迭代,或总例数增加2—3例。

3.2.2、单组目标值试验的样本量估算

以下公式中,n为试验组样本量;Z1-α/2、Z1-β为标准正态分布的分数位,当α=0.05时,Z1-α/2=1.96,当β=0.2时,Z1-β=0.842。

当主要评价指标为事件发生率,统计发生率的研究周期相同,且发生率不接近于0%或100%时,其样本量估算公式为:

 

PT为试验组预期事件发生率,P0为目标值。 


四、部分医疗器械病例数计算举例(仅供参考,具体产品请专业统计专家)


3.3.1质子碳离子治疗系统

假设试验组预期有效率为95%,目标值设为80%,双侧显著性水平为0.05,把握度80%,根据统计学计算,需要入组42例受试者。考虑10%脱落,共需要47例受试者。

若CTCAE 3级急性毒性反应的比例超过5%、或出现4级、5级急性毒性反应,临床试验失败。


3.3.2常规牙科树脂类充填材料

3.3.3血液透析浓缩物

非劣效试验设计时假设对照产品透析达标率为98%,预计试验产品与对照产品的透析达标率相当,临床认可的非劣效界值为5%,则在显著性水平0.05(双侧)、80%把握度、考虑5%脱落率的情况下,每组需要130例试验对象,两组共需要260例试验对象。

 

3.3.4医用磁共振成像系统

根据临床要求,影像质量的临床诊断优良率不得低于75%(目标值)(考虑到MR的图像受患者配合的影响较大,因此目标值定为75%), 假设试验组影像质量的优良率为90%,则当显著性水平取(双侧)0.05、检验效能80%、考虑10%脱落率,按统计学原则计算得到,试验中每一部位最少需要的受试者数为60例。所对应的样本量计算公式为:

公式中的对应试验组的预期疗效水平,则对应目标值水平,代表标准正态分布对应的分位数,对应统计检验的一类错误水平,在此取0.025,而对应检验的二类错误水平,计算时取0.2。

 

3.3.5一次性使用膜式氧合器

非劣效试验设计时,在显著性水平0.05(双侧)、80%把握度的情况下,预期达标率估计值95%,非劣效界值为10%,考虑5%脱落率时,每组需要80例,两组合计应至少入组160例患者。

单组目标值设计时,在显著性水平0.05(双侧)、80%把握度的情况下,假设目标值应至少为90%,预期达标率为95%时,考虑5%脱落率,试验共需入组252例患者。

 

3.3.6 X射线计算机体层摄影设备

临床试验采用目标值法的单组试验。根据临床要求,临床影像质量优良率不得低于85%(目标值), 假设试验组临床影像质量优良率为95%,则当双侧显著性水平取0.05、检验效能为80%,试验最少需要的受试者数为80例,考虑5%的脱落率,每个部位需纳入的试验例数为不低于86例,头颈部、胸部、腹部、骨与关节四个大部位总计不低于344例;如果预期用途中具有冠脉的部位,冠脉需纳入的试验例数也应不低于86例;加上冠脉后,所有部位总计不低于430例。

受试者临床试验的部位划分为五个,分别为:头颈部、胸部、腹部、骨与关节、以及冠脉。冠脉扫描全部为增强扫描,病例数不低于86例;除冠脉外,增强扫描(含普通增强和血管增强)总病例数不低于80例,每个部位的子部位不低于5例。

所对应的样本量计算公式为:


公式中的对应试验组的预期疗效水平,则对应目标值水平,代表标准正态分布对应的分位数,对应统计检验的一类错误水平,在此取0.025,而对应检验的二类错误水平,计算时取0.2。

3.3.7医用X线诊断设备

根据临床要求,影像质量的临床诊断要求符合率不得低于85%(目标值), 假设试验组影像质量的临床诊断要求符合率为95%,则当双侧显著性水平取0.05、检验效能为80%时,试验最少需要的受试者数为80例。

3.3.8脊柱后路内固定系统

若进行随机对照非劣效试验,则需明确对照产品预期疗效和临床认可的非劣效界值;申请人应根据各自产品的性能指标选择对照品,并采用经典的统计学方法及国内外公认的统计学软件计算样本量。例如:假设某随机对照非劣效临床试验,根据文献报道:其对照品的有效率为95%、临床认可的非劣效界值为10%,则在双侧显著性水平0.05、把握度80%、脱落率20%时,每组需要89例。

若进行单组目标值试验,则需明确试验产品预期疗效和临床认可的目标值。申请人应提供样本量足以评价该类产品安全性和有效性的统计学依据,包括以下内容:同类产品临床认可的主要评价指标的目标值、受试产品主要评价指标的预期疗效、I型误差α、Ⅱ型误差β;所用到的样本量计算公式;失访率的合理估计;使用的统计软件;引用的参考文献等。例如:行业认可的该类产品的目标值为85%,当双侧显著性水平α取0.05,β取0.2,按照经典的统计学公式,若申报产品术后六个月的预期疗效假设为95%,纳入临床试验的受试者病例数至少为75例,假设20%的失访率,则受试者病例数至少为90例。

 

3.3.9金属接骨板内固定系统

行业认可的该类产品有效率的目标值为80%,当双侧α取0.05,β取0.2,按照经典的统计学公式,若申报产品术后6个月的预期有效率假设为95%,纳入临床试验的受试者病例数至少为42例,假设20%的失访率,则受试者病例数至少为53例;若申报产品术后六个月的预期有效率假设为90%,纳入临床试验的受试者病例数至少为108例,假设20%的失访率,则受试者病例数至少为135例。

3.3.10髋关节假体系统

假设某随机对照非劣效临床试验,根据文献报道:同类产品的优良率为95%、临床认可的非劣效界值为10%,则在双侧显著性水平0.05、把握度80%、脱落率10%时,每组需要84例。

该研究为随机对照非劣效临床试验,主要评价指标是术后12个月Harris评分。根据文献报道,对照产品的评分为90±10分,临床认可的非劣效界值为5,则在双侧显著性水平0.05、把握度80%、脱落率10%时,每组需70例。

该研究为单组目标值试验,主要评价指标是术后12个月Harris评分“优良率”。根据文献报道,研究产品的优良率为95%,临床认可的目标值为85%,则在双侧显著性水平0.05、把握度80%、脱落率10%时,需87例。

 

3.3.11人工颈椎间盘假体

假设某随机对照非劣效临床试验,根据文献报道:同类产品的治疗成功率为95%、临床认可的非劣效界值为10%,则在双侧显著性水平0.05、把握度80%、须每组完成有效病例74例,考虑脱落率20%时,每组需要89例。


声明:
1、凡本网注明“来源:小桔灯网”的所有作品,均为本网合法拥有版权或有权使用的作品,转载需联系授权。
2、凡本网注明“来源:XXX(非小桔灯网)”的作品,均转载自其它媒体,转载目的在于传递更多信息,并不代表本网赞同其观点和对其真实性负责。其版权归原作者所有,如有侵权请联系删除。
3、所有再转载者需自行获得原作者授权并注明来源。

最新评论

关闭

官方推荐 上一条 /3 下一条

客服中心 搜索 洽谈合作
返回顶部