立即注册找回密码

QQ登录

只需一步,快速开始

微信登录

微信扫一扫,快速登录

搜索
小桔灯网 门户 资讯中心 杂侃天下 查看内容

集采对IVD商业模式带来的影响?

2023-8-1 10:28| 编辑: 沙糖桔| 查看: 1635| 评论: 0|来源: 老刘话IVD | 作者:有趣的老刘

摘要: 商业模式,当我们在聊商业模式的时候,我们在谈什么?


今天给大家带来的话题是:商业模式,当我们在聊商业模式的时候,我们在谈什么?集采给我们带来的商业模式变革,又有哪些,今天从这两个方面来聊一聊。


这一两周在看的书是商业模式创新与重构,希望可以从书中找到一些商业模式的创新点。

1、什么是商业模式

所谓的商业模式,其实就是企业与企业之间、企业的部门之间、乃至与顾客之间、与渠道之间都存在各种各样的交易关系和连结方式。

商业模式是创业者创意,商业创意来自于机会的丰富和逻辑化,并有可能最终演变为商业模式。好的商业模式是可以赚钱的,好的idea是可以改变整个行业的。


2、商业模式带来的创新

有很多企业是没有产品,依托于商业模式来赚钱,比如最常见的滴滴,淘宝,airbin等,这些都没有自己的产品,但是不妨碍都能成为行业翘楚,这就是商业模式的力量。共享经济的商业模式本质是一个好的商业模式,只不过是没有把后续的事情处理好,但是仍然不可否认的是一个创新性的商业模式。


3、IVD的商业模式是什么?

依托于耗材的高毛利,支持硬件、软件、商务、学术,从而可以持续且持久的赚钱的方式。

为什么IVD的商业模式是一个好的模式?

这里主要强调的是需求空间和需求持续性:需求空间很大,人生总共八件事,吃喝玩乐,生老病死,前四个字潇洒快乐,后四个字人间百态,人生有一半是和医疗打交道,所以需求空间是有多大,我们可想而知,其次就是需求持续性:IVD不是一杆子买卖,看病先检测,治疗有没有效果再检测,出院指标也要看检测,一个人住院至少要接受两次的检测,后续的随访可能还需求,所以在需求持续性上,IVD舍我其谁。很多人把IVD的商业模式理解成剃须刀生意,饮水机生意,这就是需求持续性。


IVD各个环节毛利率情况(资料来源:方正证券)


我们在谈IVD商业模式的时候,主要谈的对象就只有三个,厂家,代理商,医疗机构,IVD的商业模式本质就是:仪器+试剂+服务的三方集合。


接下来就来详细的剖析一下IVD的商业模式,以及集采可能会对商业模式形成的变革。


3.1 IVD的常规商业操作逻辑是什么样的?

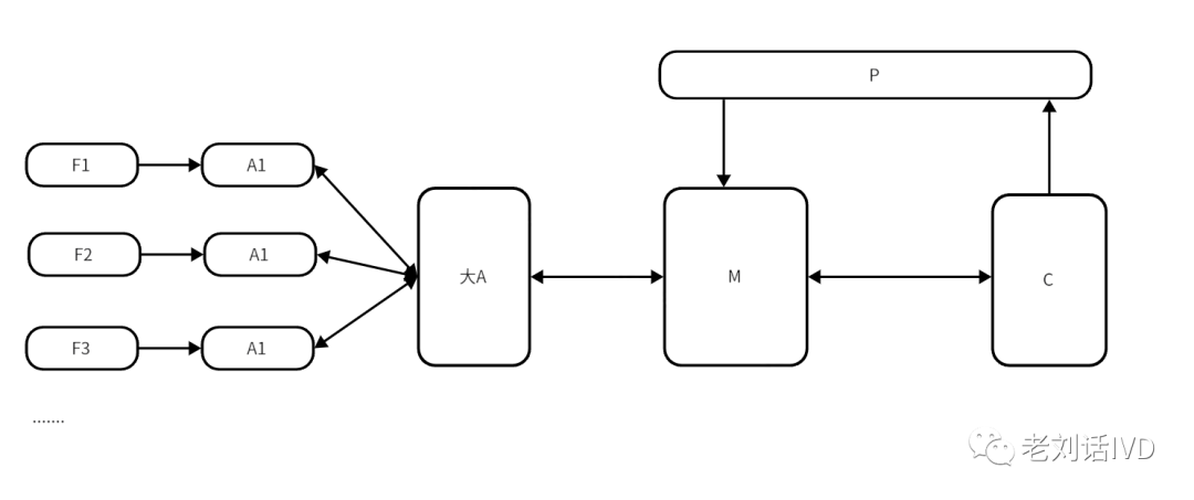
整个商业模式里面的角色人:厂家(Factory,F代替),代理商(Agent A代替,一代为A1,二代为A2),医疗机构(Medical institution,M代替),支付方医保局(Pay,P代替),患者(Customer,C代替),我们来看看里面的流程,以及常规的商业模式是什么样子的。


传统的商业模式里,个人患者向医保局缴纳医保,医疗机构提供医疗服务,由医疗服务提供的多少,有医保局向医疗机构支付费用,医院再向代理商或者厂家采购试剂,仪器等,通过这样的销售链,我们又诞生了一些价格的叫法,入院价(最终代理商给到医院的价格),代理价(总代给到二级代理商的价格),出厂价(厂家给到总代的价格),每个销售环节通过层层的价格加码,从而实现商业模式的持续运行,这个商业模式是很多行业的共同。


我们常规的商业模式,玩的费用,其实就是医保给到医疗机构的支付这笔钱,医疗机构和代理商对这笔费用进行重新分配,所以我们的代理商和厂家把这笔钱玩的很6.

在这样的模式之下,又衍生出一些不同的商业模式,比如,打包,比如外送等。

当医疗机构觉得,我对接的厂家太多的时候,这个时候打包商的角色就有了,帮助医疗机构做资源整合,从我这里走一遭,有利有弊,这个时候考验的是打包商的上游议价能力以及下游的服务能力,上游和代理商或者厂家要的政策足够优惠,那自己的利润空间才能更大一些,下游的服务能力,决定了未来还能否持续打包。


上述就是基本的IVD商业模式,也是最主流的商业模式,我们发现,越来越多的医疗机构被打包,越来越多的代理商开始从之前的代理,逐渐的开始有了自己的想法,集约化服务,建厂圈地,建立工业园区等,都是在应对未来的冲击,集采能给我们商业模式代理的变革是什么?


3.2 VBP带来的商业模式的潜在变革

大多数的国内企业是期待着集采,因为多数的企业是想通过集采实现弯道超车,药品和高值耗材可以看的出来,但是事实真的是如此吗,医保局的目的是降低医保支出,但是需要考虑的因素还有很多,VBP的路走了好几年了,可以定义为成功,而且随着经验积累的越来越多,外行的专家也变得越来越内行,我们集采之后,对我们的商业模式带来的潜在变革有哪些呢?

首先是支付方式的改变,按照集采的规则,VBP之后的做法,就是技耗分离,把试剂的费用和医疗服务费用彻底的划开,就是:医保向医疗机构提供服务费,向代理商支付耗材费。

现在医保的支付方式,由单一的对接医院,现在对接试剂厂家,而且直接和代理商进行结算,按照江西医保局的技耗分离的比例,技耗的比例大概是9:1的比例,一个项目收费10元,其中技术服务费9元,耗材费用1元。



所以,这个时候,我们常规的商业模式一定是不能再执行了,或者代理商在这样的背景之下,不可能再去做了,能给到我们行业的商业模式变革有哪些?

接下来是老刘的个人建议,仅供参考:


一、服务打包商成为IVD行业的主流,常规总代要往集约化方向靠拢

高毛利向低毛利的转换,常规的代理商考虑的事情应该是如何活下去,正在的大树并不是厂家,而是你的甲方爸爸,医疗机构,所以,在未来,只有和终端客情关系到位的代理商,才可能会在行业的寒冬中活下去,毕竟生意还在,只不过是少了一些利润,所以,从常规的做几个项目,要过渡到做整个检验科的生意,利润减少,只能通过把自己的盘子做大,才能生存。


二、转型服务商,做医疗机构的后台

传统的收费10元,1元的耗材费,9元的服务费,换句话说,之前我们都是在10元里面玩,怎么分配都是医院厂家说了算,现在厂家能分配的只有1元,那就只能去玩9元了,如何把服务费玩的好,这就是:服务费,首先了解什么是服务费:医疗机构做检测,抽血,出报告等,都是服务费,在这些里面,我们可以做什么,或者说,我们可以做什么帮助医疗机构省钱,这个就是生意的来源,数字化解决方案,在未来,我认为会成为更重要的环节。


三、企业的迫切转型,上游的把控能力

当高毛利的时候,我们所有的商业模式都是可行的,当低毛利的时代,精细化管理,降本增效会成为各行各业的主旋律,在VBP或者DRG之前,我们所有的商业模式,都可以通过试剂的高毛利来实现,服务免费,耗材免费,硬件免费,厂家,代理商双赢。


当我们从高毛利走向低毛利时代,代理商利润微乎其微的时候,我们厂家能做的事情,就是让自己企业利润保障不受影响,现在从行业的变化来看,裁人貌似是最直接和行之有效的方式,这个做法在外企走的更快,压缩人员成本,制造成本,才能保障企业的利润,所以对于企业来说,如何去降本增效,或者未来分配量固定的情况之下,如何让自己的成本更低,是企业需要考量的,目前国内大多数的企业都在布局上游,上游不被卡脖子,才有更高的议价能力。



也好久不写文章了,行业的事情也都非常清楚,自己也在思考着行业的商业模式,后者有没有更好的商业模式,就目前而言,我们都是在抢夺其他的资源,以价格和服务做差异化,优秀的企业已经开始和终端客户建立更好的链接,传统的商务手段在集采目前面前显得很无力,同时也对我们的企业提出了新的挑战。


就先写这么多吧,行业变化太大,能在迷雾中看清方向,好像很难,不管是企业还是个人,独善其身,让自己保持竞争力,让企业保持竞争力,让自己有技术壁垒,让企业有核心优势,集采会让未来的集中化程度更高,大鱼吃小鱼,小鱼就没了。

声明:
1、凡本网注明“来源:小桔灯网”的所有作品,均为本网合法拥有版权或有权使用的作品,转载需联系授权。
2、凡本网注明“来源:XXX(非小桔灯网)”的作品,均转载自其它媒体,转载目的在于传递更多信息,并不代表本网赞同其观点和对其真实性负责。其版权归原作者所有,如有侵权请联系删除。
3、所有再转载者需自行获得原作者授权并注明来源。

最新评论

关闭

官方推荐 上一条 /3 下一条

客服中心 搜索 洽谈合作
返回顶部