立即注册找回密码

QQ登录

只需一步,快速开始

微信登录

微信扫一扫,快速登录

搜索
小桔灯网 门户 资讯中心 专栏文章 动力彩虹 查看内容

《Scientific reports》: 半小时鉴定BRCA1基因突变!

2023-6-16 09:26| 编辑: 沙糖桔| 查看: 1954| 评论: 0|来源: 小桔灯网 | 作者:动力彩虹

摘要: 乳腺癌是世界各地女性最常见的恶性肿瘤之一

乳腺癌是世界各地女性最常见的恶性肿瘤之一,也是女性死亡的主要原因之一。约5-10%的女性乳腺癌症病例与遗传易感性有关。与乳腺癌症高风险相关的两个关键因素是BRCA1和BRCA2基因的突变。这些遗传变异主要包括小的移码突变、无义突变、剪接位点突变和缺失。还发现了插入、错义突变和过早转录终止。由于全世界乳腺癌和卵巢癌的高死亡率和发病率,快速有效地检测BRCA1基因突变变体对预测癌症风险具有重要意义。然而,BRCA1基因的巨大规模和突变的多样性使这种分析变得复杂和具有挑战性。


BRCA1基因突变诊断的金标准是直接序列分析。然而,这种方法既耗时又昂贵。其他更快、更便宜的替代策略依赖于扫描技术来识别包含遗传序列变化的BRCA1基因片段,但不提供突变类型的信息。最常用的扫描技术有:单链构象多态性(SSCP)、构象敏感凝胶电泳(CSGE)、基于荧光的构象敏感凝胶凝胶电泳(F-CSGE),蛋白质截短试验(PTT),高分辨率熔融分析(HRM)和变性高效液相色谱(DHPLC)。这些技术足够灵敏,可以检测低水平的突变,但都不能用于检测大的重排,如整个外显子的缺失。


近日,一组来自波兰的研究团队在杂志Scientific reports上发表了一篇题为“New, fast and cheap prediction tests for BRCA1 gene mutations identifcation in clinical samples”的文章。这项工作开发了使用表面等离子体共振(SPR)或耗散型石英晶体微天平(QCM-D)检测,基于DNA杂交来简单、快速地识别BRCA1突变。作者在合成寡核苷酸和从患者身上采集的真实样本上共同进行了研究。这些技术不需要任何报告基因的存在,这大大简化了检测过程。这可能是目前使用的分子诊断方法的一个极好的替代方案。


图片来源:Scientific reports


主要内容







SPR分析







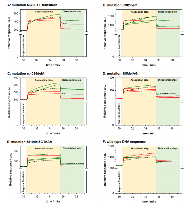
表面等离子体共振是一种光学效应,可用于实时研究分子的键合,无需标记。使用这项技术,可以获得物质的量以及所形成复合物的特异性和选择性的信息。在这项工作中,对有BRCA1突变和没有BRCA1突变的样本进行了SPR测量。由此产生的传感图如下图所示。


传感图包含缔合和解离过程。在缔合阶段,分析样品中的DNA片段与固定在金芯片表面上的探针DNA进行杂交,SPR信号增加。这个过程的有效性取决于靶DNA和探针DNA之间相互作用的强度(它们的互补程度)。用缓冲液代替分析物溶液会导至解离阶段,在这个过程中形成的复合物会解离。SPR信号的强度随后开始降低。只有当存在完全互补的DNA序列时,才观察到SPR信号的显著指数增加(图F)。即使与靶DNA部分缺乏互补性,即使在点突变的情况下,也会导至曲线性质的剧烈变化——SPR信号的增加要小得多,也要慢得多。从SPR实验中确定的动力学参数可知,当DNA分析物与探针DNA序列完全互补时,DNA双链形成的结合速率常数比非完全互补的DNA片段高103–104倍。


在与靶DNA序列的杂交过程中记录的SPR传感图。

图片来源:Scientific reports


QCM-D分析







另一种允许在不标记的情况下实时控制分子之间相互作用的技术是耗散型石英晶体微天平(QCM-D)检测。这种技术与SPR一样,可以获得所形成复合物的特异性的信息。当分析物未被精确定义时(临床样本的情况下),QCM-D检测对目标DNA的识别可基于ΔD = f(Δf)关系,DNA片段相互匹配的程度可通过ΔD = f(Δf)很好地说明,如下图所示。其中斜率的变化表明在石英晶体表面上形成的层的规则性和堆积密度的变化。只有当分析的样品含有与探针DNA片段完全互补的片段时,这些变化的性质才与合成互补DNA链所获得的变化相同。在分析的溶液中存在非完全互补的DNA片段时,该关系的斜率显著低于参考曲线。


杂交过程中的QCM-D检测数据图。

图片来源:Scientific reports


原子力显微镜(AFM)分析







基于AFM图像来分析沉积在金表面上的膜的形态。样本图像如下图所示。在用巯基化探针DNA进行初始修饰后(见图A),不规则形状的沉积岛出现在金表面上。这些图像是由化学吸附的探针DNA分子形成的,在这些条件下,探针DNA分子很可能呈现随机/卷曲构象。当存在与探针DNA完全互补的合成靶DNA的样品时,2小时后观察到了明确的变化(见图C)。杂交可以迫使随机取向的探针DNA链展开并促进碱基配对,从而使分子的构象从随机卷曲变为部分或完全拉伸。如图D–G所示,在有位点突变的情况下,薄膜表面也可以看到拉伸的DNA链片段,但出现频率低于靶DNA,并且观察到的片段通常更短。AFM图像的上述分析仅提供了定性比较。然而,它清楚地显示了表面膜的形态上的显著差异,这取决于互补程度和将单个样品与探针DNA杂交的能力。


不同靶DNA的AFM图像形态。

图片来源:Scientific reports


临床样本BRCA1基因突变的鉴定







研究团队使用了从患者身上收集的22个不同的临床样本:17个样本来自不同BRCA1基因突变变体的患者和5个没有任何BRCA1突变的患者样本。使用BRCA1突变基因序列作为探针DNA进行实验。从下表中可以看出,SPR和QCM检测的基因测试可完美地确认或排除分析样本中特定突变的存在。目前的研究可根据两种测量方法(QCM-D、SPR)来区分存在缺失和插入的样本。对于QCM-D和SPR测试,其特异性分别为80%和100%(4/5和5/5),选择性分别为94.1%和100%(16/17和17/17)。


临床样本BRCA1基因突变的鉴定。

图片来源:Scientific reports


总结和讨论







快速做出治疗决定需要能够快速明确地获得可靠结果的程序。这种理想的基因测试,其特征首先应该是其结果的可靠性、简单性、实施时间短、成本低,并且只使用少量的诊断材料。市场上大多数可用的检测都是基于聚合酶链式反应的,但这种检测既昂贵又耗时,必须由合格的人员进行。因此,仍然需要快速、廉价的突变识别工具。在这项工作中,作者已经证明SPR和QCM-D完美地填补了基因突变诊断测试的空白。


这篇论文展示了一种新的、快速且廉价的识别BRCA1突变的策略。检测是基于在与具有和不具有BRCA1突变的DNA片段的杂交过程中在传感层中发生的形态学变化。这些变化与杂交过程的效率直接相关。这是首次使用SPR和QCM-D技术检测杂交过程中形成的双链DNA层的形态变化。在临床样本(17个BRCA1突变,5个没有突变)下进行的研究证明,此方案在识别缺失型(一个或几个核苷酸碱基)、插入型和错义单核苷酸(SNPs)的BRCA1突变方面具有巨大潜力。此外,SPR和QCM-D检测器的检测在很大程度上是自动化的,有利于开发护理点诊断设备。这种简单的方法在医学诊断中具有巨大的潜力,并且将很容易适用于使用寡核苷酸探针序列检测其他基因突变。这将为普通人群的快速早期诊断、治疗监测和筛查活动打开新的大门。

声明:
1、凡本网注明“来源:小桔灯网”的所有作品,均为本网合法拥有版权或有权使用的作品,转载需联系授权。
2、凡本网注明“来源:XXX(非小桔灯网)”的作品,均转载自其它媒体,转载目的在于传递更多信息,并不代表本网赞同其观点和对其真实性负责。其版权归原作者所有,如有侵权请联系删除。
3、所有再转载者需自行获得原作者授权并注明来源。

最新评论

关闭

官方推荐 上一条 /3 下一条

客服中心 搜索 洽谈合作
返回顶部