立即注册找回密码

QQ登录

只需一步,快速开始

微信登录

微信扫一扫,快速登录

搜索
小桔灯网 门户 资讯中心 专栏文章 动力彩虹 查看内容

重磅!《Scientific reports》:可预测痴呆症进展的CSF生物标志物

2023-5-19 13:24| 编辑: 沙糖桔| 查看: 1950| 评论: 0|来源: 小桔灯网 | 作者:动力彩虹

摘要: 脑脊液反映了大脑的生物状态,可以为痴呆症的进展提供有价值的见解


痴呆症是一种临床综合征,其特征是认知障碍,逐渐阻碍日常生活活动。痴呆症可由各种神经退行性疾病引起,如阿尔茨海默病(AD)、额颞叶痴呆(FTD)和路易体痴呆(DLB)。生物流体生物标志物的进步导至了各种潜在神经退行性疾病的诊断工具的改进。然而,疾病进展的速度是异质的,并且缺乏预后生物流体生物标志物仍然是一个挑战。通过新的发现方法和超灵敏测定,现在可以测量生物流体中低丰度的蛋白质标记物。这种强大的分析技术与机器学习模型相结合,为开发生物标志物panel提供了机会,以解决痴呆症患者对良好预后信息的未满足需求。


脑脊液反映了大脑的生物状态,可以为痴呆症的进展提供有价值的见解。使用CSF发现基于蛋白质组学的生物标志物是一种很有前途的方法,可以识别参与疾病病理生理学的候选蛋白质和生物途径。上调和下调蛋白的模式可以提供有关可能导至疾病进展的机制的有用信息,或者提供防止认知能力下降的保护。虽然使用传统无偏质谱技术的研究提供了对疾病生物学的深入了解,但检测低丰度蛋白质并转化用于临床实践和治疗试验的生物标志物是一项挑战。


近日,一组来自荷兰、瑞典、西班牙的研究团队在杂志Scientific reports上发表了一篇题为“Discovery of novel CSF biomarkers to predict progression in dementia using machine learning”的文章。本研究的目的是探索CSF蛋白作为预测痴呆症患者认知能力下降速度的生物标志物的潜力,同时研究导至认知能力下降的潜在机制。首先根据MMSE测量结果定义了进展缓慢组和进展迅速组。其次,基于特征重要性分析确定了具有预测价值的蛋白质生物标志物。最后一步,探索了每种排名靠前的蛋白质与认知能力下降率之间的关系。此外,为了了解蛋白质水平异常与痴呆进展之间的关系,还进行了功能富集和蛋白质-蛋白质相互作用分析。


图片来源:Scientific reports


定义快速和慢速进展


作者根据其持续的迷你精神状态检查(MMSE)评分和生存随访,为分类模型定义了快速进展者和慢速进展者(如下图)。该分析包括210名痴呆症患者,在2.3年内平均观察到MMSE下降3.3分。使用潜在类别混合模型(LCMM)分为两组,慢速进展组由76名患者组成,MMSE平均每年下降0.9 分。快速进展组由58名患者组成,MMSE平均每年下降4.5分,并且比慢速进展组年轻。


患者人口统计和进展组的识别。图片来源:Scientific reports


使用机器学习预测认知能力下降


为了评估哪种蛋白质对区分快速和慢速衰退者贡献最大,对CSF中的蛋白质相对丰度值进行了随机森林(RF)分类模型训练。下图a–c显示了四个不同RF分类器的各自性能得分,即:Olink+年龄模型,该模型在所有蛋白质检测结果上进行了训练,并将年龄作为一个特征;Olink模型,对所有蛋白质检测结果进行训练;年龄模型,只包含年龄;以及随机模型。采用了多种指标,如受试者工作特征曲线下面积(ROC–AUC)、F1评分、准确率和均衡准确率来评估模型。两种Olink模型在所有指标中都表现出优异的性能,ROC–AUC为0.82。使用年龄作为单一特征(年龄模型)的AUC为0.73,这反映出快速进展者平均比慢速进展者年轻。


作者选择了Olink模型进行特征重要性分析,以选择具有最高预测值的生物标志物。图d显示了基于Gini特征重要性的前20种蛋白质的特征重要性值,其中包括前3种:C型凝集素结构域家族1成员B(CLEC1B)、肿瘤坏死因子受体超家族成员4(TNFRSF4)和转化生长因子β-1前蛋白(TGF β-1)。更深入的分析结果显示生物标志物相互作用模式复杂,这表明准确的预测可能需要多生物标志物方法。


机器学习预测认知能力下降。图片来源:Scientific reports


功能富集和蛋白质-蛋白质相互作用分析


为了深入了解快速和慢速进展者可能受到不同影响的生物学机制,作者进行了富集分析。95种蛋白质中有92种在快速和慢速进展组之间表现出负性影响,表明较低的蛋白质浓度与更快的进展有关。对这92种生物标志物进行了富集分析,发现KEGG通路有关轴突引导,TGF-β信号传导、细胞因子-细胞因子受体相互作用和MAPK信号传导途径显示富集。信号受体活性和分子转导活性在GO分析显示出显著富集。


此外,使用STRING数据库探索了蛋白质-蛋白质相互作用网络。分析揭示了CLEC1B和Podoplanin(PDPN)之间的强烈相互作用,CLEC1B为PDPN的受体。PDPN是TNFSF4和CLEC1B之间的共享物理连接。此外,TNFRSF4是一种与长期T细胞免疫有关的共刺激分子,被发现主要与其他肿瘤坏死家族成员以及趋化因子受体CXCR4和T细胞特异性表面糖蛋白CD28相互作用,表明其参与T细胞活化。此外,TGF-β-1被观察到与一系列蛋白质相互作用,如Endoglin、Decorin、MMP-9以及IL-6,表明其在原纤维形成和细胞外基质组织中的潜在作用。


导至认知能力下降的潜在机制


在被诊断为痴呆症的患者中,与认知能力下降率相关的前20个CSF生物标志物中有11个与信号通路有关(TNFRSF4、TGFβ-1、CLEC1B、GFRA2、TNFRSF6B、EPHB6、PLXNB1)、细胞迁移(EPHB6)和细胞粘附(PVRL4、EPHB6)。


人们对TNFRSF4知之甚少,除了它参与神经元细胞信号通路外,TNF-α受体信号通路,即TNFR1和TNFR2,已经在神经退行性疾病中进行了研究。TNF-α在神经退行性疾病中具有不同的作用,包括神经退行性和神经保护作用,这似乎取决于其通过TNFR家族成员的信号传导。TNFRSF4可能发挥保护作用,因为较低的CSF水平与更快的进展相关。


TGFβ-1是一种多功能蛋白,是一种调节各种细胞类型生长和分化的神经营养因子,参与各种过程,包括免疫反应、小胶质细胞功能和稳态。在之前的工作中,TGFβ-1被认为对淀粉样蛋白-β诱导的神经退行性病变具有神经保护作用。


生物标志物内部敏感性分析


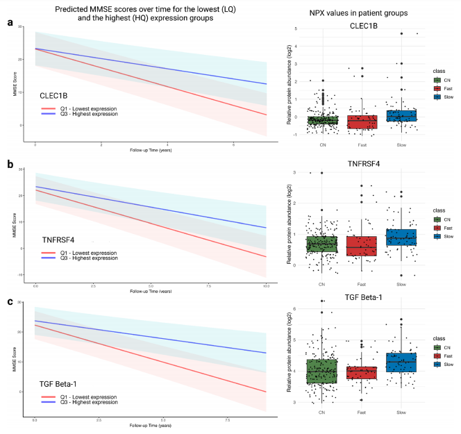
作者对单个生物标志物预测后续认知疾病的能力感兴趣,根据生物标志物的表达水平对所有痴呆症患者(n=210)进行了分组。结果显示20个top 生物标志物中有11个显示出显著差异(如下图)。如只分析AD痴呆患者(n=119),两组之间的对比更强。下图还描述了认知正常、快速和缓慢进展患者组中个体生物标志物的相对丰度值。进展缓慢的患者蛋白质水平升高,但进展迅速的患者的蛋白质水平与认知正常的对照组相似。


遗憾的是,结果显示没有一项top 生物标志物能够作为随后认知能力下降的有力单个预测指标。这可以用每种蛋白质的小尺寸效应和痴呆患者的生物学异质性来解释。


Top 3生物标志物的内部敏感性分析。

图片来源:Scientific reports


总结与讨论


缓慢和快速进展者之间蛋白质水平的差异模式丰富了对痴呆症进展的看法。研究结果表明,与细胞信号传导和免疫反应有关的过程受损。在神经退行性疾病中通常上调的途径,如细胞因子介导的信号传导,表明存在神经炎症,在痴呆症的快速进展者中下调。缓慢进展组蛋白的上调可能表明了一种途径的保护功能。


这项研究也有局限性。尽管LCMM对异质人群特别有用,但定义快速和慢速进展者是一个粗略的聚类步骤。疾病进展速度是一个连续体,但需要进展快和缓慢组的标签来训练机器学习分类器。根据验证程序,下一步需要评估选定的蛋白质生物标志物与进展率和临床里程碑的相关性。另一个制约因素是用于对患者进行分类的认知测试的选择。MMSE已被广泛验证,可以用作进展跟踪工具。然而,MMSE易受外部因素的影响,可能会影响其准确性,包括年龄、教育水平和医疗条件。未来的研究可能会考虑使用专门开发和验证的替代测试来检测随着时间的推移认知能力的下降,如RBANS或CFC。


虽然CSF的使用比血液更准确地反映了中枢神经系统的生化过程,但收集CSF的侵入性对其广泛实施构成了主要限制。另一方面,血液是一种侵入性较小的替代品,然而因为中枢神经系统相关蛋白的浓度往往较低,并且血浆中的蛋白水平会受到体内所有器官和细胞的影响,这使得识别中枢神经系统特异性变化具有挑战性。


总之,这项工作确定了几种可能具有预后价值的候选CSF蛋白线索,这些线索可能有助于预测痴呆患者的疾病进展速度。与快速进展呈负相关的蛋白质富含细胞粘附、细胞信号传导和免疫反应途径,可能表明这些患者缺乏保护性反应。总之,这些结果表明,未来验证后的CSF生物标志物小组可能提供有用的预后信息。

声明:
1、凡本网注明“来源:小桔灯网”的所有作品,均为本网合法拥有版权或有权使用的作品,转载需联系授权。
2、凡本网注明“来源:XXX(非小桔灯网)”的作品,均转载自其它媒体,转载目的在于传递更多信息,并不代表本网赞同其观点和对其真实性负责。其版权归原作者所有,如有侵权请联系删除。
3、所有再转载者需自行获得原作者授权并注明来源。

最新评论

关闭

官方推荐 上一条 /3 下一条

客服中心 搜索 洽谈合作
返回顶部