立即注册找回密码

QQ登录

只需一步,快速开始

微信登录

微信扫一扫,快速登录

搜索
小桔灯网 门户 资讯中心 检验杂谈 查看内容

【冯仁丰】系列讲座 31 三种回归处理 5

2022-8-31 10:16| 编辑: 沙糖桔| 查看: 5242| 评论: 0|来源: 冯仁丰

摘要: 在罗氏的资料中,看到了实验室诊断基础的“质量保证”小册子。


三种回归处理

- 冯仁丰 -

罗氏介绍Deming回归

在罗氏的资料中,看到了实验室诊断基础的“质量保证”小册子。该小册子概要地介绍了Deming回归统计。还有计算示例。为此,我将这个示例列在这里,供大家参考。

在回归章节中,该小册子提出:

 3.6.2 回归:模式Ⅰ和Ⅱ 

回归用于确定关系的类型(斜率、截距、线性)。回归在临床化学中起着关键的作用,即:校准曲线的形式和方法学比较。从统计上,涉及两个很不一样的问题。第一个涉及独立(自)变量(如:浓度)的给定值,用于推断检测因变量(如:吸光度)。这个推断是单侧的。这是回归的模式Ⅰ。

注:我认为,Bablok的回归模式I,应该是x为自变量,y为因变量的关系。

另一个例子是甘油三酯浓度对年龄的依赖关系。很明显,年龄对甘油三酯的推断是没有意义的。独立变量(年龄)实际上是无误差的,而因变量受机会变异的影响。将独立变量为x(横轴),因变量为y纵轴)。毫无疑问,因为会影响回归的计算。

相反,模式Ⅱ没有区分自变量和因变量。例如,要说明血浆甘油三酯和葡萄糖浓度的关系。统计不能用于确定甘油三酯会影响葡萄糖,或反之;最好的解释是第三变量对这两个分析物的浓度有着等同的影响。若需要将新的实验方法和已建立的方法进行比较,以确定它们是否能得到相同的结果,这个问题将有模式Ⅱ处理。

在回归模式I,即最小二乘做法。这里不再介绍。模式Ⅱ回归程序并没有包括在常见的统计中。这些回归可分为两个回归(“y对于x”和“x对于y”)。可以得到两条回归线。然后计算回归系数的几何均值予以替代(标准化的主成分分析〔Standardized principal component analysis〕,Averdunk 1970,Leonhardt 1983)。


这个回归线叙述了在均值点处的截距。这个点也被其他的回归线截取(模式Ⅱ,Deming程序)。它们的斜率为:

这个是两条回归线斜率的几何均值斜率。这就是前面说到的以两条最小二乘回归线斜率的几何均值表示的做法。

从前述的内容中,可知:

这个几何回归斜率,只有在x和y,完全相等的情况下,方可使几何回归值为1。


最小二乘与Deming回归

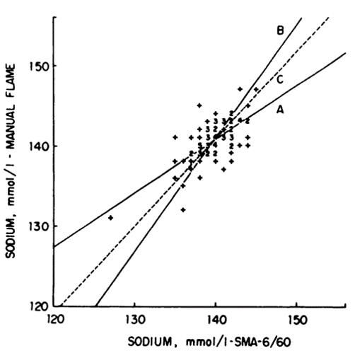
有文章图示说明,最小二乘回归与Deming的差异。

图中的C虚线为Deming回归线。A和B为最小二乘回归线。A线以x为准,B线以Y为准


Deming解决了模式II中的回归分析问题,通过在x和y方向上同时使残差(数据点和回归线间的距离)平和为最小(主成分分析,Cornbleet 1979,Wakkers 1975)。按照Deming的回归系数bD计算如下:

注:式中Sex和Sey分别为x方法和y方法的重复检测标准差。Sx和Sy分别为x和y方法的样品浓度分布标准差。


罗氏资料中的计算示例

现对10例样品,进行了方法1和方法2的比对,原始数据如上。


两个方法各自进行了6次重复检测,得到重复标准差分别为Sex=0.179,Sey=0.089。


三个基础的统计量:

一般直线回归中,以x为准的直线回归的斜率为:

以y为准的直线回归斜率为:

x和y的相关系数为:

上述的第二个以y准的直线回归斜率,是以y轴为准。需要转换为:

可以将让两条回归线,绘制在同一个图上;在标准化主成分分析中,需要求两个斜率的几何均值斜率:

                                                         ˉ

在该两个方法均值处,求截距:a=0.352


现有:Sx=1.882,Sy=1.783,Sex=0.179,Sey=0.089,有公式:

最后Deming回归的斜率与截距为:

需要注意的是,进行Deming回归还必须具有每个方法自身的重复精密度!这是其他回归处理没有的。


从上述的Deming回归计算中,用到了两个比对方法自身的重复SD比值。在Deming回归做法上,期望二者的SD非常相似;即λ比值近于1。但是在实际实验中,不一定是这样。两个常规方法比较,它们的随机误差在大小上为相同等级(即1~10、或0.1~1),则λ可以被设定为1。Deming程序一般对错误设定λ值相对地不敏感。


TO BE CONTINUED

声明:
1、凡本网注明“来源:小桔灯网”的所有作品,均为本网合法拥有版权或有权使用的作品,转载需联系授权。
2、凡本网注明“来源:XXX(非小桔灯网)”的作品,均转载自其它媒体,转载目的在于传递更多信息,并不代表本网赞同其观点和对其真实性负责。其版权归原作者所有,如有侵权请联系删除。
3、所有再转载者需自行获得原作者授权并注明来源。

最新评论

关闭

官方推荐 上一条 /3 下一条

客服中心 搜索 洽谈合作
返回顶部