1、该研究是目前最大规模的亚洲实体瘤患者的全面肿瘤组织的临床基因组研究。 2、研究结果提示,64%的中国癌症患者具有临床上可用药的潜在基因突变。 3、研究从基因层面将中国人群与西方人群突变特征的异同进行了系统分析和全面对比,全面阐述了东西方癌症患者的不同基因组特征。 癌症是全球主要死亡原因之一。中国医学科学院北京协和医院国家癌症中心陈万青教授团队在《中华医学杂志英文版》发表的一项研究表明:在2022年,中国和美国将分别有约4,820,000和2,370,000例新发癌症病例,以及3,210,000和640,000例癌症死亡。也就是说,中国癌症新发病例数是美国的约2倍,但死亡病例数约是美国的5倍。精准肿瘤学使基于越来越精确和高分辨率的癌症分子分层的个体诊断、预后和治疗成为可能,主要集中在基因组靶向治疗上。近日,中山大学孙逸仙纪念医院王铭辉教授团队联合多家医院与国内领先的精准诊疗公司至本医疗合作,在国际知名学术期刊《Nature Communications》(影响因子:17.7)发表了一篇亚洲实体瘤人群大规模肿瘤组织的临床基因组学研究。
研究通过对中国 10,000 多名癌症患者的肿瘤组织和匹配的血液样本进行二代测序,结果发现,64%的中国癌症患者具有临床上可用药的潜在基因突变,这可能会影响与靶向或免疫治疗相关的临床决策。研究还从基因层面将中国人群与西方人群突变特征的异同进行了系统分析和全面对比,对推动中国癌症人群个体化精准诊疗具有重要的临床意义。 该研究是目前最大规模的亚洲实体瘤患者的全面肿瘤组织的临床基因图谱研究。研究人员收集了11,553人的肿瘤标本和匹配的外周血标本,涉及31个民族,包括25种主要肿瘤类型和100多种肿瘤亚型。最终对10,194份肿瘤样本进行了高通量二代测序,主要肿瘤类型是非小细胞肺癌(NSCLC;20%)、结直肠癌(CRC;12%)、肝细胞癌(LIHC;11%)、胃癌(GC;8%)、食管癌(ESCA;6%)、软组织肉瘤(STS;6%)、肝内胆管癌(ICC;5%)、胰腺癌(PAC;5%)、肝外胆管癌(ECC;3%)和乳腺癌(BRCA;3%)。
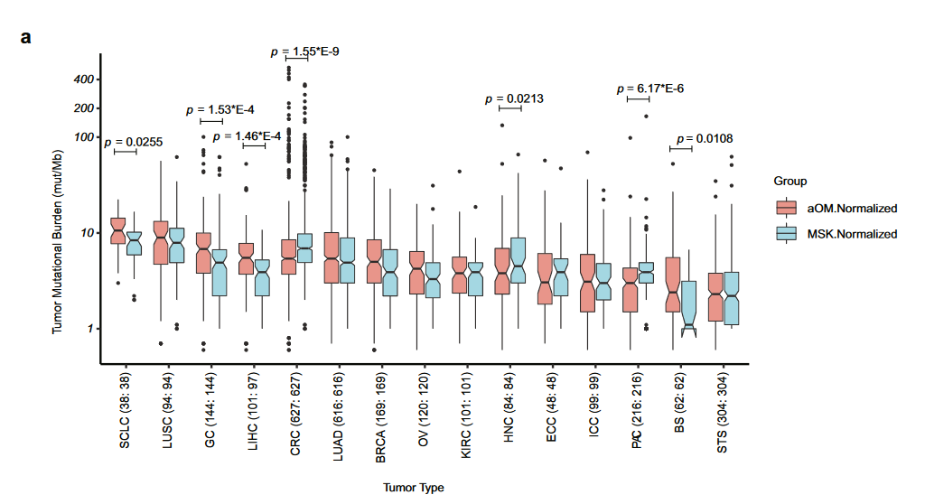
图:Distribution of tumor types among cases successfully sequenced from 10,194 patients 对实体瘤中显著突变的癌症相关基因的分析发现,最常见的突变基因是TP53(58%)、KRAS(18%)、TERT(14%)、EGFR(13%)、APC(13%)、CDKN2A(12%)和PIK3CA(11%)。最常见的突变是KRAS G12、EGFR L858和TP53 R273 。此外,研究人员试图探索实体肿瘤中基因融合的特征,共识别出513个融合事件,包括队列中的31个驱动基因。 左:Genes recurrently rearranged to form putative gene fusions were displayed across principal tumor types 右:Gene fusions across multiple tumor types为了揭示与中国癌症患者临床特征相关的进一步体细胞改变,研究者对基因组谱的肿瘤类型分布和多种临床特征(年龄、性别、肿瘤分期、吸烟史、治疗和样本类型)进行了相关性分析。 总的来说,临床特征相关的基因组差异分布在CRC(结直肠癌)和NSCLC(肺癌)中。在CRC中,与老年和晚期患者相比,年轻和早期患者的差异突变基因数量分别为270和100,这可能与年轻和早期CRC中高突变亚型,如微卫星不稳定性高(MSI-H)和POLE相关的CRC的比例明显偏高一致。 在非小细胞肺癌中,基因突变的频率受性别和吸烟史的显著影响。值得注意的是,性别和吸烟史不是独立的因素,因为大多数不吸烟者是女性。 此外,年轻的女性胃癌患者更可能携带CDH1 突变。相比之下,年龄较大的胃癌患者往往携带TP53、NOTCH1 和 FAT4 突变。 此外,肝细胞肝癌、肾透明细胞癌和骨肉瘤年轻患者分别携带TP53、TFE3 和VEGFA 突变,而肝细胞肝癌、头颈癌和软组织肉瘤老年患者分别携带 CTNNB1、TERT 和TP53 突变。 为了在全球范围内评估中国患者的癌症基因组特征,研究人员将基因组改变与已发表的最大的癌症基因组研究--纪念斯隆凯特琳癌症中心(MSK)IMPACT研究进行了比较。12个可比的肿瘤类型的基因aOM队列(advanced OrigiMed, n = 2820)和MSK队列( n = 2820)进行基因变异频率对比差异,表明aOM队列最常见的突变基因的频率和的肿瘤类型分布在MSK队列中高度一致。两个队列之间的显著差异的有12种 “肿瘤类型:基因” 组合,主要体现在肺腺癌和肝胆肿瘤。 为了进一步确认OM和MSK研究在晚期癌症中观察到的异同,研究人员还将aOM数据与The Cancer Genome Atlas研究(ATCGA)中晚期病例的基因组数据进行了比较。在9种可比较的肿瘤类型和266个基因aOM(n = 1008)和aTCGA队列(n = 1008),共确定了6种“肿瘤类型:基因” 组合之间有显著差异。总的来说,这些多重比较在最大程度上揭示了这些队列中基因组改变的相似性和独特性。 此外,研究团队还从基因层面将中国人群与西方人群突变特征的异同进行了系统分析和全面对比,全面阐述了东西方癌症患者的不同基因组特征。如在肺腺癌群体中,中国肺腺癌患者的EGFR 突变和TP53 突变频率比西方人群更高,而KEAP1 突变相比西方患者较低。这些发现为中国精准治疗的国际实时接轨提供了重要基础证据。左:Frequency of altered gene in 15 comparable tumor types between the aOM cohort and MSK cohort 右:Comparison of significantly different altered genes (FDR < 0.05) between the aOM cohort (left) and MSK cohort (right)
左:Frequency of altered gene in 9 comparable tumor types between the aOM cohort and aTCGA cohort.
右:Comparison of significantly different altered genes (FDR < 0.05) between the aOM cohort (left) and MSK cohort (right).除了靶向治疗外,免疫检查点阻断最近的临床成功,使不同国家癌症患者之间的免疫治疗相关突变和标记的比较成为另一个重要问题。尽管在常规临床实践中评估TMB的算法尚未达成共识,个体TMB已被证明可以预测免疫治疗后的患者预后。研究人员根据KEYNOTE-158研究的TMB高状态定义(值≥10 Muts/Mb)确定了TMB高(TMB-H)和TMB低(TMB-L)。
Correlation of tumor mutational burden (TMB), microsatellite instability high (MSI-H), and PD-L1 expression in OM cohort. 研究首次发现,64%的中国癌症患者具有临床上可用药的潜在基因突变,并发现这些患者中有 4% 至少表现出 PD-L1 阳性,这表明这些患者可从免疫治疗中获益。
研究发现,6498患者携带至少一种临床相关的基因突变。根据证据等级分为4个级别,与其他癌症类型相比,等级1在非小细胞肺癌、乳腺癌、小细胞肺癌和溃疡性结肠炎中占比较高,主要为非小细胞肺癌中携带TMB-H和EGFR 罕见突变的患者。
Details of the 30 most common actionable variants, proportions of levels in corresponding tumor types, and their potential sensitive drugs
总之,这项研究深度分析了中国患者中超过10,000个泛实体瘤组织样本的体细胞突变情况,为癌症医学提供了一个高度可靠的数据集和资源。更重要的是,该研究全面揭示了亚洲多民族人群泛实体瘤组织样本的体细胞变异及其临床特征相关特征,并全面阐述了东西方癌症患者的不同基因组特征,填补了中国在该领域的研究空白,为提高癌症五年生存率,推动中国的个体化诊疗开辟了新的道路。 该研究的通讯作者之一,中山大学孙逸仙纪念医院王铭辉教授表示,
这是首次在亚洲癌症人群中进行大规模的临床基因组研究,对精准医学的发展和个体化诊疗具有重要意义。期待未来能有更多中国癌症人群的精准医学研究,推动癌症临床诊疗的发展,推进健康中国2030宏伟目标。 参考资料:
1)https://journals.lww.com/cmj/Fulltext/2022/03050/Cancer_statistics_in_China_and_United_States,.11.aspx2) https://www.nature.com/articles/s41467-022-31780-9
|