| 根据世界卫生组织的数据显示,宫颈癌是全球女性第二高发癌症,2020年全球新增宫颈癌患者60万例,并有大约34万名患者因此失去生命。宫颈癌由人乳头瘤病毒(HPV)持续感染而引起,尽管目前HPV疫苗有效降低了宫颈癌的发生率,但是整体上来说疫苗的覆盖率仍不充足。因而,通过宫颈癌筛查确定宫颈上皮内瘤变(CIN)或宫颈癌水平对于及时预防或治疗宫颈癌至关重要。目前来说,宫颈细胞学检查和HPV检测是常见的非侵入性初级筛查方法。但是,就宫颈细胞学检查来说,由于一些女性细胞学检查中的涂片未能采集宫颈病变区域的样本,敏感性往往比较低。另外,就HPV检测来说,只有感染时间长的人才会发展为高CIN水平或癌症,所以HPV检测灵敏度高但特异性较低。阴道镜检查是根据结肠镜对宫颈图像的解释,用于进一步检查细胞学或HPV检测异常的女性,它是侵入性的,可能会导至出血或感染。因而,需要一种基于现有临床检查的无创、客观、准确的宫颈筛查方法。 近日,来自中国科学院苏州生物医学工程技术研究所的研究团队提出了一种跨膜态融合细胞学检查、HPV检测和阴道镜图像检查结果的宫颈病变无创筛查方法,筛查准确率高达92.1%,显著优于单一筛查方法。研究结果以“Deep learning based cervical screening by the cross-modal integration of colposcopy, cytology, and HPV test”为题,发表在国际医学信息学协会官方期刊International Journal of Medical Informatics(IJMI)上。 
研究成果(图源:IJMI)
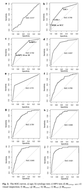
在这项研究中,研究团队利用深度学习方法构建了阴道镜图像自动筛查模型,输出患者病变概率,实现了阴道镜图像客观定量的解读。他们还对细胞学检查结果和HPV检测结果进行类别编码,采用逻辑回归方法将类别编码与阴道镜图像自动输出的病变概率跨膜态融合,最终构建了宫颈癌综合筛查模型。 研究团队在研究中一共纳入了2160名女性的检查数据,其中正常或低级别病变1718名,高级别病变或宫颈癌442名。2)接受细胞学检查、HPV检测、阴道镜检查、阴道镜活检。1)缺乏下列宫颈影像之一:生理盐水影像、醋酸影像、碘影像;研究人员使用生理盐水影像、醋酸影像、碘影像三种图像开发和测试基于阴道镜的深度学习模型,结合基于单图像模型,采用多变量logistic回归建立了基于多图像的深度学习模型。将细胞学检查和HPV检测结果应用MLR建立了细胞学检查-HPV检测联合诊断模型。最后,结合基于多图像的深度学习模型、细胞学检查结果和HPV检测结果,利用MLR构建跨模态综合模型。并且,利用受试者工作特性曲线下的面积(AUC)集中测试模型的性能。经过测试,细胞学检查-HPV检测联合诊断模型的AUC为0.837(注:AUC越接近于1,检测方法的真实性越高),显著高于单一的细胞学检查和HPV检测。基于盐水影像、乙酸影像和碘影像的深度学习模型的AUC分别是0.760、0.791和0.840,基于多图像的深度学习模型的AUC提高到0.845。值得一提的是,综合模型的表现最好,AUC为0.921。
 综合以上,研究结果表明,与其他单一模型相比,综合模型的性能最佳,敏感性和特异性更平衡,这说明细胞学检测、HPV检测和阴道镜检查在提高诊断性能方面具有协同效益。此外,综合模型被可视化为一个易于使用的列线图,通过总结模型中变量对应的点,可以直观地为每位女性提供疾病风险,这便于临床理解模型原理。总之,结合所有类型的宫颈图像有助于提高基于阴道镜的深度学习的性能,通过结合HPV检测结果、细胞学检测结果和基于阴道镜的深度学习模型,可以实现更准确的宫颈筛查。[1]Fu L, Xia W, Shi W, et al. Deep learning based cervical screening by the cross-modal integration of colposcopy, cytology, and HPV test. Int J Med Inform. 2022 Mar;159:104675. doi: 10.1016/j.ijmedinf.2021.104675. Epub 2021 Dec 28. PMID:34979436.
|