立即注册找回密码

QQ登录

只需一步,快速开始

微信登录

微信扫一扫,快速登录

搜索
小桔灯网 门户 资讯中心 肿瘤诊疗 查看内容

sAXL丨 一种新型的胰腺导管腺癌早期诊断生物标志物

2022-1-18 17:37| 编辑: 沙糖桔| 查看: 4047| 评论: 0|来源: 小桔灯网 | 作者:动力彩虹

摘要: 导语胰腺癌,尤其是胰腺导管腺癌(PDAC),是预后最差的肿瘤之一。目前,在发达国家和发展中国家它是癌症相关死亡的第三大原因,到2030年将会发展成为第二大原因。其中一个导至存活率低的原因是诊断时间晚,这是因为 ...


导语

胰腺癌,尤其是胰腺导管腺癌(PDAC),是预后最差的肿瘤之一。目前,在发达国家和发展中国家它是癌症相关死亡的第三大原因,到2030年将会发展成为第二大原因。


其中一个导至存活率低的原因是诊断时间晚,这是因为早期PDAC检测缺乏真正有效的生物标志物。手术切除是唯一的治疗选择,但由于诊断时间晚,只适用于不到20%的PDAC患者。


这些患者的不良预后强调了识别新的生物标志物的紧迫性,从而使他们可以早诊断进行手术切除。此外,这些生物标记物对于高危人群的临床监测同样非常重要,比如那些携带基因突变的患者,他们有着与较高PDAC发病率或家族遗传性PDAC相关的突变,以及慢性胰腺炎患者(CP)。


现今,CA199是唯一一个被FDA批准使用的胰腺癌生物标记物。但是,CA199的敏感性和特异性都稍显不足(大约为79%和82%),因此在临床上,CA199只被使用于观测胰腺癌治疗效果以及复发相关的诊断。除此之外,CA199还具有由于FUT3JIY 突变(5-10%的人群)导至的假阴性以及非恶性胰腺炎性疾病(比如慢性胰腺炎)导至的假阳性等缺点。


近日,来自西班牙的几个研究团队在EBioMedicine上发表了一篇题为“Soluble AXL is a novel blood marker for early detection of pancreatic ductal adenocarcinoma and differential diagnosis from chronic pancreatitis”的文章,该研究团队发现AXL受体酪氨酸激酶在早期PDAC中高表达,并且将可溶性形式(sAXL)释放到血液中。结果显示sAXL可以用作PDAC早期检测的生物标记物,并且可以成功区分PDAC和慢性胰腺炎,为特异性的PDAC检测打下基础并且加快PDAC的治疗周期,改善预后。



主要内容

01



研究团队用免疫组化(IHC)来研究AXL蛋白在正常人群和病理状态下人群(包括慢性胰腺炎、胰腺上皮内瘤变(PanINs),导管内乳头状黏液性肿瘤(IPMNs)和PDAC)的表达。


结果显示,AXL在正常人群胰腺样本中基本上没有表达,在慢性胰腺炎这种非恶性炎症中也只有零星表达,但是在IPMNs和PDAC中显示出强阳性表达。研究团队也测定了正常人群和不同病理状态下人群的AXL RNA表达水平,结果与IHC一致。



02


健康人群、慢性胰腺炎(CP)人群和PDAC人群的血浆sAXL水平



研究团队利用两个样本群 HMar cohort(n=59) 和HClinic cohort(n=142), 分析了健康人群、慢性胰腺炎人群和PDAC人群的血浆sAXL水平。


结果显示在HMar cohort中,PDAC人群的血浆sAXL水平比健康人群和CP人群显著升高,在拥有更多样本量的HClinic cohort中,得到了相同的结果。



为了判定血浆sAXL水平能不能体现PDAC进展,研究团队依据PDAC临床分期来测定血浆sAXL水平。结果显示II期、III期和IV期PDAC血浆sAXL水平比健康人群显著提高,并且AXL的高表达与更差的预后低存活率相关。



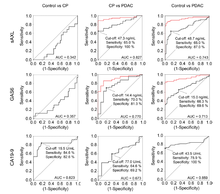
03


敏感性和特异性



研究团队利用接受者操作特性曲线(ROC)来比对sAXL和CA199作为生物标志物的敏感性和特异性。其中,sAXL在区分PDAC患者和CP患者时,表现比CA199亮眼。


当sAXL和CA199同时用来作为生物标记物时,从健康人群中区分PDAC患者的敏感性和特异性都大大提高(91.3%,100%),区分CP和PDAC患者人群的敏感性和特异性同样大大提高(89.9%,100%)。



04


胰腺癌模型小鼠血浆中sAXL水平



在一个癌前胰腺病变(PanINs)模型小鼠中(3-4月龄会进展成PDAC),研究团队测定了血浆中sAXL水平。当癌前胰腺病变已经进展成PDAC时,血浆sAXL水平会显著升高;当癌前胰腺病变还未已经进展成PDAC时,血浆sAXL水平与WT小鼠相当。



总结

sAXL可以用作PDAC早期检测的生物标记物,并且可以成功区分PDAC和慢性胰腺炎,为特异性的PDAC检测打下基础。当与CA199同时使用时,大大提高了PDAC检测的敏感性和特异性,可以加快PDAC的治疗周期,改善预后。


声明:
1、凡本网注明“来源:小桔灯网”的所有作品,均为本网合法拥有版权或有权使用的作品,转载需联系授权。
2、凡本网注明“来源:XXX(非小桔灯网)”的作品,均转载自其它媒体,转载目的在于传递更多信息,并不代表本网赞同其观点和对其真实性负责。其版权归原作者所有,如有侵权请联系删除。
3、所有再转载者需自行获得原作者授权并注明来源。

最新评论

关闭

官方推荐 上一条 /3 下一条

客服中心 搜索 洽谈合作
返回顶部