立即注册找回密码

QQ登录

只需一步,快速开始

微信登录

微信扫一扫,快速登录

搜索

稳定性|实时和使用稳定性研究方案

2021-12-23 17:11| 编辑: 沙糖桔| 查看: 7478| 评论: 0|来源: 诊断科学 | 作者:认真的刘博

摘要: 大家好,在之前的系列文章中,我们对体外诊断试剂稳定性及其分类有了一定的认识,今天我们就来介绍一下实时稳定性和使用稳定性的研究方案。01实时稳定性研究方案本文介绍了用测量漂移作为主要稳定性指标建立IVD试剂 ...


大家好,在之前的系列文章中,我们对体外诊断试剂稳定性及其分类有了一定的认识,今天我们就来介绍一下实时稳定性和使用稳定性的研究方案。


01 实时稳定性研究方案

本文介绍了用测量漂移作为主要稳定性指标建立IVD试剂保存期或使用寿命稳定性声明的通用方案。假定研究的产品不能耐受冻结,因此采用每个时间点都进行测试的经典试验方案设计。


这个方案仅作为指导,稳定性研究设计的类型、测试样品的数量、平行测试次数、测试时间表等可根据具体产品的稳定性测试计划的需要进行调整。


1.1、研究计划

a) 制定稳定性试验计划,并确保试验实施所需的信息、材料、仪器和资源。


b) 收集足够的试剂、校准品和外部样品,以满足研究的所有测试需求。额外预留20%的余量以防在研究过程中由于测试的失败而需要额外的检测。


c) 确认所要使用的仪器系统。理想情况下,在整个研究中使用相同的仪器,以减少测量变异性。确保仪器处于正确的质量控制下,并定期进行维护和校准。


d)  查阅试剂处理方法和样品处理说明,以确保它们可以提供足够的信息并能被操作员理解。


e) 提供有关预期测试方法精密度和准确性的指导,以帮助操作员在收集数据时能及时识别和处理潜在的离群数据点。测试方案应提供说明是否允许进行简单的重新测试来替换,如果需要增加额外的测试点,则需要哪些文件。考虑为相对验收标准监测结果提供指导以检测产品无效,以及哪些条件可得出研究的早期结论。


f) 如果连续监测实时数据,只有在连续两个测试点的数据超过验收标准后才会考虑失败。在进行指标超限的失败原因分析后,可以将稳定性声明确定为达到验收标准最后时间点所持续的时间,这可以最大限度地减少那些由于非稳定性原因导至测试失败而带来的错误结论。


1.2实验

a) 在时间0点将产品分别按不同条件储存(如推荐条作,应力条作,加速条件等,或按方案设计的其他条件)。


b) 此步骤仅适用于运输模拟研究:通过预先设定的应力测试顺序处理产品。应力条件处理后将产品存放在推荐的储存条件下。


按照稳定性测试计划中的时间表,在规定的测试日随机地抽取不同储存条件的样品进行平行测试。采用随机的不同顺序来检测每次的测试样品。在测试前检查产品外观,并记录潜在的与稳定性有关的变化(如变色,沉淀,异常复溶时同等)。


12

 刘博

 

通常,可以直接从仪器中收集到分析物单位的数据,或仪器响应值的数据,然后将其离线转换成分析物单位。后一种方法可能需要样品落在或超过分析测量范围,这些浓度不能由仪器给出定量值。如果有合适的稀释液,还可以将高浓度样品进行稀释得到检测范围内的系列样品来进行检测。


12

 刘博

 

试剂保存期研究的数据,分析时应包括基于已知或预设校准间隔的定期重新校准。这可以在仪器上进行,也可以通过在脱机状态下分析仪器的响应值进行校准。


12

 刘博

 

基于相对回收率的研究(例如,比较在推荐条件下储存的产品与在假设稳定条件下储存的产品),应该使所有样品和储存条件在同一时间段内或尽可能在相近的时间点进行操作。

d) 在每个测试日检查每个样品的平行测试结果,根据稳定性测试计划的规定(参见《北京市第二类体外诊断试剂临床试验指导原则》2016年版),找出潜在的离群值。


e) 如果由于离群值,质量控制程序或操作困难而导至一个样品或全天的检测结果不被接受,则只有经过调查确定并纠正问题原因之后才可进行替换测试。记录这次调查的结果。


f) 根据稳定性试验计划进行任何其他稳定性指标测试。


1.3数据分析

a) 根据每个测试样品的测量漂移评估产品批次的稳定性。

  • 1)将检测到分析物的平均值(y轴)与时间(x轴)绘图并进行线性回归。


12

 刘博

 

如果校准品和/或质控品研究用参考温度产品,则y轴值用在正常条件下储存的产品分析物测值的平均绝对差,有分比差或相对差。


12

 刘博

 

大多数产品预期在保存期内仅有轻微的降解(≤10%),因此线性模型通常是是够的。如果绘图明显是非线性的,可以考虑使用对数变换或作线性模型拟合。

  • 2)如果回归斜率没有统计学意义(P ≥0.05),则将该样品的稳定时间作为测试的最大时间点。作为分析输出的一部分,现有大多数回归软件包提供斜率P值。或者,用t统计量手动计算斜率,并与Student t分布表中的相应临界值进行统计学意义比较。

  • 3)如果回归斜率具有统计学意义(P <0.05),在回归直线的单侧95%置信区间与验收标准相交的时间取样的测量漂移即为稳定性持续时间,这可以由线性回归图直观地确定,其中置信区间由相应的统计软件产生。


如果需要的话,可以计算对应的时间点Xi的估值结果的置信区间值YCLi,所选的时间跨度为研究持续时间,然后绘图。


在测量漂移斜率为负值的情况下,通过下面的公式计算95%置信区间下限,如果测量漂移斜率为正值,则将计算的置信区间加到估算结果上,而不是减去它。

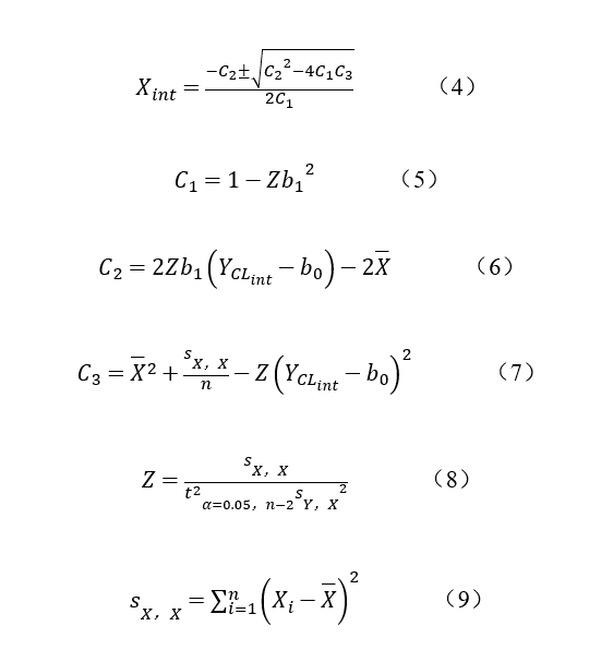
可见稳定持续时间(Xint)可以用二次方程解出来,而不是用图形方法:

YCLint是预定义为置信度截距的分析物值,Z为常数。


请注意,稳定性估值应该在研究期限内。如果计算的估计值超过了研究持续时间,则将估计值设置为最后一次测量的时间点,超出研究期限的外推是不合适的。

  • 4)通过测量漂移评估产品批次的稳定性时,将所有测试样品中观察到的稳定持续时间最小值作为该批次的稳定期。


b) 根据稳定性试验计划评估产品批次的其他稳定性指标(如果有的话)。

  • 1)根据相应的验收标准,评估整个研究过程中所有其他稳定性指标的结果。

  • 2)将所有这些稳定性指标达到其各自验收标准的最大时间点作为稳定期。


c) 在稳定性测试计划中,将所有产品批次及所有单个稳定性指标估值稳定期的最小值作为该IVD试剂的稳定期。


d) 对于运输模拟研究,每个应力条件都有其自身的稳定持续时间:

  • 1)如果稳定性持续时间等于正常条件下储存产品的稳定性持续时间,则认为由该模拟方案的运输条件不会影响产品的稳定性。

  • 2)如果稳定性持续时间显著小于正常条件下储存产品的稳定性持续时间,则该模拟方案的运输条件很可能对产品稳定性有负面影响。需要缩短产品的稳定性声明的时间,或使用不会造成这种影响的运输条件代替。


在最后的报告中总结研究结果。本报告还应包括或涉及稳定性试验计划,明确所有测试产品批次,并包含关于产品稳定性的结论。


02  使用稳定性研究方案


2.1、研究计划

a) 准备稳定性研究所必需的信息、材料、仪器、资源等。

b) 收集充足的产品、校准品和外部样品以适应所研究的测试,应考虑20%左右的富余。

c) 实验中所使用的校准品,质控品等应保证为同一批次。

d) 在整个研究过程中,应使用同样的仪器将测试的变异性降到最低,确保仪器处于正确的质控及最新的维护保养校准中。

e) 操作者应按照试剂及样品的处理要求正确操作。


2.2、实验过程及数据分析

使用稳定性主要包含校准周期及在机稳定期两部分内容,两项工作可在一个试剂通道同时开展;试剂需在试剂仓内持续开盖保存28天以上(中途不得拿出放冰箱保存)。


具体实验方案及内容如下:


2.2.1、临时靶值及允许偏倚标准确定的四种方式

a) 连续5天每天上下午分别检测质控品和一个浓度混合临床样品(cut-off值浓度水平)2次,5天累计20个数据,依据此20个数据计算均值(临时靶值)、标准差(s)和CV、以2s作为允许偏倚判断标准。


b) 如此前已完成20天中间精密度的实验,并且本次实验所采用的样品与20天中间精密度为相同样品,那么可直接采用20天中间精密度实验获得的均值作为临时靶值,以2s作为允许偏倚判断标准。


c)  也可以以1/4卫生部室间质评、《临床生物化学检验常规项目分析质量指标》(WS/T403-2012)、《美国临床实验室改进修正法案88》(CLIA’ 88)允许偏倚作为判断是否重新定标的标准,此时仍需进行不同时间点的20次测定,求均值以获得临时靶值。


d) 对于稳定性较差的项目(定标周期小于5天的项目),可以在一天内不同时段进行重复测定,累计20个数据,进行均值(临时靶值)和标准差计算,以2s作为允许偏倚判断标准。


以上获得的临时靶值和允许偏倚标准均可接受,根据研发工作进展情况,可以自由选择,时间比较充裕时,建议采用(b)方案进行。


2.2.2、校准周期/间隔的确定

获得临时靶值和允许偏倚判断标准后,继续进行至少20个工作日的连续监测(总计不少于28天),每天固定时间点分别测定质控品和一个浓度混合临床样品(cut-of值浓度水平)进行单次测定,将该均值与累计的临时靶值进行比较,与靶值的绝对偏倚超过2s者,则需进行重新定标。


连续监测至少28天(必要时延长监测时限),根据28天内的定标次数及每次定标的间隔,初步确定该项目在该机型的定标周期/间隔。


2.2.3、在机稳定期的确定

在2.2.2的实验过程中,当通过重复定标也无法将质控品或混合临床样品测值拉回至允许偏倚的标准内时,该时间点则视为该项目的最长在机稳定期。


若28天内一直未出现偏倚超过允许偏倚判断标准且定标后无法拉回正常水平的现象,则持续跟踪2个月,直至定标后检测结果无法恢复为止,得出在机稳定性数据;或宣称最长在机稳定期28天。


数据分析:建议以检测次数为x轴,以质控测定值为y轴,结合靶值及标准绘制以质控图(图1)示例如下:

图1|质控图


结果判断:根据质控图进行判断,判断标准为当测定的质控或样品其中一个水平连续两天偏倚超出2s或两个水平同时偏倚超出2s,则需要重新定标。


2.3、复溶稳定性的确定

对于冻干粉型试剂,应评估其复溶后放置在2~8℃下的稳定性。


建议复溶后放置在2~8℃,分别于第1天、3天、5天、7天、14天、21天、28天进行检测,对于稳定性较差的项目,可以选择一天内不同时间段进行测定,每个时间点测定质控品,重复测定3次,测定结果与靶值比较进行结果判定、按照:检验方法进行趋势分析作为辅助判定。


好了,以上就是今天分享的全部内容,如果大家有什么疑问,欢迎在后台给我们留言,或者加入我们一起讨论~


声明:
1、凡本网注明“来源:小桔灯网”的所有作品,均为本网合法拥有版权或有权使用的作品,转载需联系授权。
2、凡本网注明“来源:XXX(非小桔灯网)”的作品,均转载自其它媒体,转载目的在于传递更多信息,并不代表本网赞同其观点和对其真实性负责。其版权归原作者所有,如有侵权请联系删除。
3、所有再转载者需自行获得原作者授权并注明来源。

最新评论

关闭

官方推荐 上一条 /3 下一条

客服中心 搜索 洽谈合作
返回顶部