| 在大多数人以往的认知中,HPV疫苗是预防宫颈癌的,是女性的专属。男性朋友接种HPV疫苗,会带来什么效果呢?实际上,全世界每年约有7万名男性罹患由人乳头瘤病毒(HPV)引起的癌症,包括阴茎癌、肛门癌、口咽癌和其他头颈部癌症,这些癌症中超过80%与HPV16和18有关。而且男性终生易受HPV感染,其中性行为活跃的男性和女性感染HPV相关的生殖器疾病的概率一样。最为特别的是,男性的生殖器HPV感染的概率在其一生始终保持不变,而女性的感染率通常随着年龄的增长而下降。女性自然感染HPV后产生的保护性抗体可以降低其以后感染的风险,而在男性中没有观察到类似的保护作用,再次感染的风险更高。因此,在某种程度上来讲,男性比女性更需要接种HPV疫苗。  近日,来自美国、中国、德国等多国的研究机构在国际知名期刊《柳叶刀·传染病》上发表了题为“Efficacy, immunogenicity, and safety of a quadrivalent HPV vaccine inmen: results of an open-label, long-term extension of a randomised,placebo-controlled, phase 3 trial”的研究成果,研究证明在长达10年的随访研究中,男性接种四价HPV疫苗为预防与HPV6、11、16和18相关的肛门生殖疾病提供了持久的保护作用,具有持久的疗效、持续的免疫原性和良好的安全性。 这项研究始于2004年,分为基础研究和长期随访研究。为期3年的基础研究是一项国际性、多中心、双盲、随机、安慰剂对照试验,在18个国家的71个中心进行。符合条件的参与者是异性恋男性(16-23岁)或同性恋男性(MSM;16-26岁)。符合条件的参与者被随机分配,在第1天、第2个月和第6个月接受三剂四价HPV疫苗或安慰剂注射。后期为期7年的长期随访研究在16个国家的46个中心进行。在长期随访研究中,研究人员将参与者分为早期疫苗接种组和后期补种疫苗组,最终对1373名(76%)参与者进行了长期随访,其中早期疫苗接种组709人,补种疫苗组664人。研究人员将疫苗效力的评价指标定为所有参与者中与HPV6或11相关的外生殖器疣的发病率和与HPV6、11、16或18相关的外生殖器病变的发病率,以及仅在MSM中与HPV6、11、16或18相关的肛门上皮内瘤变(包括肛疣和扁平病变)或肛门癌的发病率。
 在四价HPV疫苗接种前,早期疫苗接种组和补种疫苗组参与者的基线特征基本相似,对HPV6、11、16和18的血清阳性率以及PCR阳性率相似。研究结果显示,早期疫苗接种组与基础研究中的安慰剂组相比,与HPV6或11相关的外生殖器疣的发病率每10000人/年分别为0.0 (95%CI 0.0-8.7)和137.3 (83.9-212.1),而与HPV6、11、16或18相关的外生殖器病变的发病率分别为0.0 (0.0-7.7)和140.4 (89.0-210.7),此外,男性同性恋参与者中仅与HPV6、11、16或18相关的肛门上皮内瘤变或肛门癌的发生率分别为20.5 (0.5-114.4)和906.2 (553.5-1399.5)。补种疫苗组与接种四价HPV疫苗前相比,在长期随访期间,与HPV6或11相关的外生殖器疣的发病率每10000人/年分别为0.0 (0.0-13.5)和149.6 (95%CI 101.6-212.3),而与HPV6、11、16或18相关的外生殖器病变的发病率分别为0.0 (0.0-10.2)和155.1 (108.0-215.7),与HPV6、11、16或18相关的肛门上皮内瘤变或肛门癌的发病率较低,分别为101.3 (32.9-236.3)和886.0(583.9-1289.1)。在安全性方面,没有疫苗相关的严重不良事件报告。 参与长期随访研究的16-26岁接种疫苗的男性,HPV相关外生殖器和肛门疾病发病率的降低
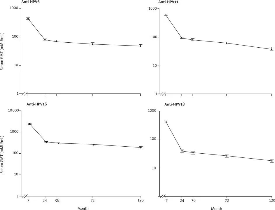
研究人员在进一步的分析中,使用Kaplan-Meier方法评估了MSM中早期疫苗接种组和补种疫苗组中与HPV6、11、16或18相关的肛门上皮内瘤变和肛门癌随时间的累积发病率。研究结果表明,在接种四价HPV疫苗后,补种疫苗组肛门上皮内瘤变的累积发病率与早期疫苗接种组相似,在接种后对肛门疾病具有保护作用。两组参与者对与HPV6、11、16或18感染相关的疾病终点的疫苗效果相似。 长期随访研究中接种四价HPV疫苗的MSM中与HPV6、11、16和18相关的肛门上皮内瘤变和肛门癌的累积发病率最后再来看看,男性接种HPV疫苗的免疫原性,在早期疫苗接种组中,抗HPV6、11、16和18抗体在第一次接种疫苗后持续了120个月(图3)。抗体滴度在第7个月达到高峰,至第24个月急剧下降,此后逐渐下降至随访结束(第120个月)。第120月时,HPV6阳性率为91.7% (255/278),HPV11阳性率为92.0% (252/274),HPV16阳性率为99.7% (290/291),HPV18阳性率为92.1% (281/305)。在补种组中,也观察到了类似的规律。 从基础研究的第1天到长期随访研究的第10年,早期疫苗组参与者在竞争性Luminex免疫分析中的抗HPV6、11、16和18的抗体滴度 总之,早期接种组和补种组与HPV6或11相关的外生殖器疣,与HPV6、11、16或18相关的外生殖器病变,以及与HPV6、11、16或18相关的肛门上皮内瘤变或肛门癌的发生率均低于安慰剂组,这表明四价HPV疫苗为参与者提供了长期的保护。由此看来,不论男女都有必要接种HPV疫苗。而且,鉴于HPV主要通过性生活或密切接触传播,接种疫苗不止是在保护自己,也是在保护另一半。 参考资料:
[1]Efficacy, immunogenicity, and safety of a quadrivalent HPV vaccine inmen: results of an open-label, long-term extension of a randomised,placebo-controlled, phase 3 trial |