为了增强荧光qPCR检测能力及其适用范围,在探针修饰上便有各种类型。由常规的TaqMan探针到MGB探针,再到双淬灭、锁核酸和肽核酸,名称上确实各有特点,那它们实际上又有啥优势呢?
一、TaqMan探针
1.结构
TaqMan探针是一种双标记、自淬灭的水解探针,其5’端标记一个荧光基团(如FAM、HEX等),3’端则标记一个淬灭基团(如TAMRA、BHQ等)。
其中,淬灭剂的发展,便经历了一番选择进化。TAMRA是最早出现的淬灭剂,其与FAM荧光基团的配对使用,实现了实时荧光检测的目的。但TAMRA作为一种自身带有荧光的淬灭剂,背景信号较高,与其配对使用的荧光基团波长选择范围较窄,应用便大受所限。
后来,开发出了一类暗淬灭剂(Dark Quenchers),如DABCYL。该类淬灭剂在可见光谱中不存在发射光,且与荧光淬灭剂(如TAMRA)不同,其从荧光基团吸收的激发能量以热能而非光能的形式耗散,从而降低了背景信号。但DABCYL也只能吸收很小范围内的波长,这便限制了其在多重qPCR中的应用。
为了满足多重qPCR应用,黑洞淬灭剂(Black Hole Quencher, BHQ)便应运而生。BHQ可在较长的波长下起作用,在可见光谱中具有高效的淬灭能力,与其配对的荧光基团波长选择范围更大。现有BHQ染料的淬灭波长范围可兼顾430 nm~730 nm,不同的BHQ搭配不同的荧光基团,便可实现多重qPCR检测。而为了规避专利或改进淬灭效果,一些公司也自行开发了其他类似的淬灭剂,如IDT(Integrated DNA Technologies)公司的淬灭基团:IBFQ(Iowa Black®️ FQ)和IBRQ(Iowa Black®️ RQ)。
2.原理
实时qPCR是基于荧光共振能量转移(Fluorescence Resonance Energy Transfer, FRET)原理实现检测的,即当探针处于完整状态且因折叠卷曲而使荧光基团和淬灭基团相对靠近时,淬灭基团可吸收荧光基团发射的荧光,导至仪器无法检测到信号;当探针结合至靶标序列上,并在扩增过程中被Taq酶水解时,其荧光基团释放至反应体系中,与淬灭基团分离,此时荧光基团在激发光作用下生成的信号便可被仪器检测到。
二、MGB探针
1.结构
MGB探针除了两端分别标记有荧光基团和淬灭基团外,探针的3’或5′末端还连接有小沟结合物(Minor groove binding, MGB),其中,标记的淬灭基团为不发光淬灭基团(non-fluorescent quencher, NFQ),MGB多为小分子三肽,可非共价结合至双链DNA的小沟处,稳定DNA结构。
MGB探针包含MGB-TaqMan探针、MGB-Pleiades探针和MGB-Eclipse探针三种类型。TaqMan-MGB探针是在TaqMan探针基础上,于其3’末端再连接上MGB,从而作为一种水解探针,在扩增过程中被Taq酶水解后释放荧光基团产生信号。Pleiades-MGB探针的5’端标记荧光基团并连接上MGB、3’端标记淬灭基团;Eclipse-MGB探针则在其5’端标记淬灭基团并连接上MGB、3’端标记荧光基团。Pleiades-MGB探针和Eclipse-MGB探针均为杂交探针,5’端连接的MGB可阻止其被Taq酶水解,因此该两种探针在与靶标序列杂交后,荧光基团和淬灭基团相对远离,产生荧光信号。

2.优势
(1)MGB修饰的探针与靶标序列结合的Tm值可提高15~30℃,允许设计的探针序列更短;
(2)MGB探针采用不发荧光的淬灭基团(NFQ),可极大消除传统淬灭基团产生的背景荧光,提高信噪比;
(3) MGB结合至DNA双链小沟处,可稳定AT-rich序列,降低靶标序列Tm值对实验的影响;
(4)MGB探针可以用于检测短片段的保守序列,也可用于检测SNP,一般将突变位点设计在探针中间1/3位置上,可用于区分单碱基突变;
(5)使用Pleiades-MGB探针或Eclipse-MGB探针检测后,其扩增后的产物还可进行熔解曲线分析。
三、双淬灭探针
1.结构
传统单淬灭探针的5’端为荧光基团、3’端为淬灭基团,双淬灭探针则在探针内部额外添加第二个淬灭基团,使得淬灭效果更加完全。
以IDT双淬灭探针为例,其在探针的第9或10位碱基连接上第二个淬灭基团:ZEN™️淬灭剂或TAO™️淬灭剂。
ZEN双淬灭探针含有一个5′端荧光基团,一个3′端Iowa Black™ FQ(IBFQ)淬灭基团,以及专有的内置ZEN淬灭基团,其最常用的5′端荧光基团包括FAM、TET、Yakima Yellow、SUN或HEX。
TAO双淬灭探针带有一个5′端Cy 5荧光基团,一个3′端Iowa Black RQ (IBRQ) 淬灭基团,以及专有的内置TAO淬灭基团。

2.优势
(1)双淬灭探针具有双重保障,除了在探针3’端具有普通淬灭基团外,其内部还添加有第二个淬灭基团,可降低本底信号,提高信噪比;
(2)传统探针长度一般为20~30bp,双淬灭探针可设计得更长,达到40个碱基;
(3)双淬灭探针在多重qPCR检测时,可降低多通道检测中荧光信号的相互串扰;
(4)双淬灭探针还可增强双链结构的稳定性,阻止核酸外切酶的酶切作用,且无细胞毒性,使其可应用于anti-miRNA序列以及miRNA、mRNA等的原位杂交。
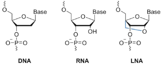
四、锁核酸探针
1.结构
锁核酸(Locked nucleic acid, LNA)是一类经过修饰的高亲和力RNA类似物,其2'-O和4'-C位之间通过亚甲基(下图蓝色部分)连接,限制了呋喃核糖环的灵活性,将其“锁定”为刚性的双环结构,但不影响其遵循Watson-Crick碱基配对原则,同样可与互补的DNA或RNA杂交形成双链体。

2.优势
(1)LNA的合成与标准寡核苷酸合成相容,可直接将单个或多个 LNA 核苷酸位点,选择性掺入探针序列中,对探针识别能力和Tm值进行调整;
(2)添加LNA核苷酸可提高探针与靶标序列结合的热稳定性,每加入一个LNA核苷酸,探针Tm值可升高2~8℃,因此探针长度可以设计得更短,对序列GC含量的依赖性也更低;
(3)同样的序列,经LNA修饰的探针Tm值更高;相同的Tm值,经LNA修饰的探针序列则可设计得更短,这使得LNA探针非常适用于检测长度较短或相似度较高的靶标序列;
(4)LNA探针具有高识别能力和亲和力,可显著提高完全匹配和错配碱基之间的Tm值差异,能够更有效地分辨SNP;
(5) LNA具有高核酸酶抗性,在体内和体外均较为稳定,可应用于反义技术。
五、肽核酸探针
1.结构
肽核酸(Peptide Nucleic Acid, PNA)是一种人工合成的DNA类似物,结构上保留了DNA的碱基和脱氧核糖,只是原本的核糖-磷酸骨架被类似肽键的酰胺键骨架(图中红圈标注)取代。因此,PNA依然遵循碱基互补配对原则,而骨架则由原本的负电性转为近中性,减弱了双链核酸之间的静电斥力作用,使得LNA与DNA或RNA的结合稳定性和特异性均大为提高。而且,PNA的酰胺键骨架不易被核酸酶和蛋白酶水解,使其在体内和体外均极其稳定。

2.优势
(1)PNA探针具有更高的Tm值,相比常规DNA-DNA序列,每增加一个PNA碱基,其Tm值相应提高至少1℃;
(2)PNA的电中性骨架,可减少其与DNA和RNA链的静电排斥作用,使得PNA与靶标序列具有更高的亲和力;
(3)PNA具有高特异性和高灵敏度,一个碱基对的错配可使 Tm 值明显降低,可用于区分单碱基突变;
(4)PNA具有良好的稳定性,在高温或高pH条件下,可稳定存在;且由于没有核酸酶和蛋白酶的识别位点,因此对酶降解的抗性也更强;
(5)PNA与靶标序列的杂交结合强度不依赖于盐离子浓度,杂交速率更快,可提高100-5000倍。
六、小结
对于探针的改进,一方面是为了提高检测信噪比,使得结果更加灵敏特异;另一方面是为了增强探针设计的灵活性,使其应用范围更加广泛。
而对标准核苷酸的人工改造,则给其带来了更多的可能性,不仅可大大扩宽寡核苷酸探针的应用范围,甚至可为人工合成的寡核苷酸开拓新的应用领域,也可使其应用方向更加可控。
参考资料
[1] Navarro E, Serrano-Heras G, Castao M J, et al. Real-time PCR detection chemistry.
[2] IDT官网.
[3] Qiagen官网.
[4] 赛百盛官网.
[5] Panagene官网.
信息来源:IVD技术咖,作者技术小咖