立即注册找回密码

QQ登录

只需一步,快速开始

微信登录

微信扫一扫,快速登录

搜索

刘博谈准确度|单点精密度和多点精密度的评价方法及数据处理

2021-9-29 11:10| 编辑: 沙糖桔| 查看: 8616| 评论: 0|来源: 诊断科学 | 作者:认真的刘博

摘要: 这是刘博谈准确度第七篇,本篇介绍单点精密度和多点精密度的评价方法及数据处理。6.3、重复性和实验室内精密度(单点精密度)6.3.1、概述此部分内容参考 CLSI EP05-A3中的单点精密度评价,实验模型为20×2×2,待评 ...



这是刘博谈准确度第七篇,本篇介绍单点精密度和多点精密度的评价方法及数据处理。


6.3、重复性和实验室内精密度(单点精密度)

6.3.1、概述

此部分内容参考 CLSI EP05-A3中的单点精密度评价,实验模型为20×2×2,待评价的精密度主要有两种类型:重复性、实验室内精密度。


重复性与标准差相关,可通过一个样品在单批内多次重复的分析结果粗略估计。


实验室内精密度是中间精密度的一种,又称为设备内精密度、总精密度、点精密度(此处「点」可理解为一个实验室或一台仪器)。


在评价精密度前研发人员应对引起精密度变异的原因(潜在的影响因素)进行详细分析,如批、天、校准周期、试剂批号、校准品批号等。


本文在数据统计分析中考虑各因素间的相互影响,按95%置信区间进行精密度估计。


从实验模型的统计分析入手,简单介绍嵌套方差分析(也有称巢式方差分析、交互方差分析等)模型和精密度评价时所用到的统计公式,以方便读者直接使用。



6.3.2、评价方法

在实施此项评价工作时,在同一台设备(或同一实验室),由同一(组)操作员使用同一测量程序和同种、同一批号试剂(包括相同批号校准品),在一段时间内(一般为1个月或20个工作日)对同一测试样品测量。


每天做2个批次量,每批测量时,对同一样品重复测量2次,共测20天。评价结束时数据共有40对,即80个测量结果。


在每一批次测量中,必须同时测量质控品,以保证结果是可靠的,数据能够被采用。


该实验也可每日进行一个批次测量,一个批次中对同一样品重复测量4次,共测20个工作日,由80个数据求出批内和批间精密度。


如果取得稳定样品有困难,也可改为测5日,每日测2个批次,每个批次测一个样品、共测8次,这样仍有80个数据,从10个批次中每个样品8次差异计算出批内精密度,从所有80个结果计算出批间精密度。



6.3.3、数据收集

要收集到足够有效的数据(至少为80个数据)。除补充质控失控而增加的测试外,应在进行数据分析前,检查数据中有无由于偶然差错引起的离群值,可根据下述剔除值的标准进行剔除。


从实施段已收集的40对均值的数据计算出总均值和标准差,出现下列任何一种情况都可认为是离群值:

  • 任何一对均值和总均值的差超过4倍标准差;

  • 任何一对中两个结果的绝对差值超过4倍标准差。


离群值不用于精密度的计算,在剔除后应再增加检验次数,以保证至少有40批次、80个数据进行计算。任何一次实验的剔除值不能超过总测量数的2.5%。


当超过时,应怀疑是否为方法不稳定或操作者不熟悉所致;此时,所有实验数据均应废弃,并重新开始实验。


6.3.4、数据的记录

将所收集到的数据记录在表2。

表2|精密度实验原始数据记录表



6.3.5、数据统计分析

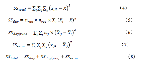
数据应无缺失,为平衡的,采用嵌套方差进行分析。表3即为20×2×2的方差分析结果,适用于任何一个样品产生的双因素嵌套随机效应的方差模型。


表3|单点精密度(20×2×2)嵌套方差分析汇总


数据可借助统计分析软件进行分析,也可通过以下公式进行计算:


式中,


天、批、误差对应的方差分别为Vday、Vrun、Verror,如分析软件未给出,可通过以下公式进行计算:


公式(10)中,如果MSrun < MSerror,计算结果为负数时,Vrun为0;同理,公式(11)中,如果MSday < MSrun,计算结果为负数时,Vday为0。


重复性的标准差(SR)直接对应残差或误差(术语为Verror),而实验室内精密度SD(SWL)对应于三个方差分量的总和,分别可通过以下公式进行计算:

将样品所有的测量结果除以总平均值,然后乘以100%,表示为CV。



6.3.6、精密度估计的置信区间

根据Satterthwaite方法,计算重复性和实验室内精密度对应的有效自由度。重复性对应的有效自由度为

实验室内精密度估计的自由度,不能等同于方差分析的总的自由度DFtotal,可通过以下Satterthwaite公式的转换式进行计算:

对完整的(平衡的,80个结果)20×2×2数据集来说,αerror= 0.50,αrun=0.25,αday= 0.25。如果实验模型发生改变,αerror、αrun、αday的值可以按照本文第8节的内容进行推导。


在评价或验证精度性能时,一般对95%置信区间感兴趣,对应于α的水平是α= 0.05。在这种情况下,在1-α = 0.95的置信水平,精确估计的置信区间范围应计算为

式中,

s为精密度估计,表达为SD;

DF为精密度估计的自由度;


6.4、设备间精密度(多点精密度)

当分析评价显示不同设备间的变异可能很大时,需要考虑进行设备间精密度的评价,大多数情况下这些设备不在同一地方,因此又称「多点精密度」评价。


设备间精密度评价的经典模型是3×5×5,一般可同时评价重复性、实验室内精密度(设备内精密度)和设备间精密度。



6.4.1、评价方法

至少需要三台相同型号的设备,可在同一实验室或位于三个实验室,如三台设备在三个实验室,其中一个实验室应是厂家或研发者,是精密度评价方案的发起者或设计者,另两个实验点可以是外部的。


实验应至少需要5天(不一定是连续工作日),不需要所有设备在相同日期开始实验;每天一批,每个样品重复测定5次,均使用相同的试剂和校准品,并在测量程序开始前进行校准,随后的校准应按制造商指定的频率进行。


该实验包括两个因素:「点」和「天」,「天」嵌套在「点」中。



6.4.2、数据统计分析

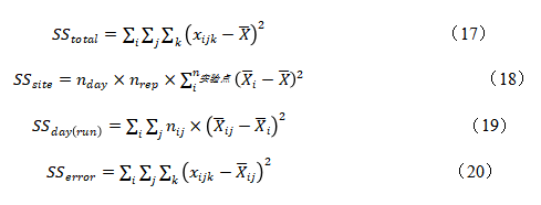
表4为多点精密度3×5×5方差分析的结果,即nsite=3,nday=5(每天1批)和nrep = 5(每批重复5次),每个样品共有75个测量结果。

表4|多点精密度(3×5×5)嵌套方差分析汇总表


数据可通过软件进行分析,各变异来源的计算也可通过以下公式进行计算:

一些常规的方差分析将提供相关方差组分的模型,包括Vsite、Vday、Verror。如果没有提供该信息,可根据以下统计公式进行计算。

公式(22)中,如果MSday < MSerror,计算结果为负数时,Vday为0;同理,公式(23)中,如果MSsite < MSday,计算结果为负数时,Vsite为0。


相比仅有重复性和实验室内精密度类型的单点研究,多点研究中重复性标准差(SR)直接对应残差或误差,术语方差分量(Verror),而实验室内精密度SD(SWL)对应于前两个方差分量的总和,复现性标准差(SREP)则对应于三个方差分量的总和:

这些方差分量除以所有样品测量结果的总平均值,然后乘以100%,表示为CV。



6.4.3、精密度估计的置信区间

与5.3.6部分相同,从估计有效自由度构建置信区间来限制精密度估计的结果。


假设一个平衡设计和一个完整数据集(无结果丢失)、重复性估计的自由(sR)可以从研究大小中直接计算:

如果数据集的大小与这个标准不同,应查阅相关文献(或咨询统计学家,或依靠适当的分析软件),或者参考本文第8节内容进行推导。


在评估或验证精度性能时,一般对95%置信区间感兴趣,对应于α的水平是0.05。置信区间的计算如公式30所示。



声明:
1、凡本网注明“来源:小桔灯网”的所有作品,均为本网合法拥有版权或有权使用的作品,转载需联系授权。
2、凡本网注明“来源:XXX(非小桔灯网)”的作品,均转载自其它媒体,转载目的在于传递更多信息,并不代表本网赞同其观点和对其真实性负责。其版权归原作者所有,如有侵权请联系删除。
3、所有再转载者需自行获得原作者授权并注明来源。

最新评论

关闭

官方推荐 上一条 /3 下一条

客服中心 搜索 洽谈合作
返回顶部