立即注册找回密码

QQ登录

只需一步,快速开始

微信登录

微信扫一扫,快速登录

搜索

刘博谈准确度|正确度的评价方法

2021-8-26 16:53| 编辑: 沙糖桔| 查看: 4728| 评论: 0|来源: 诊断科学 | 作者:认真的刘博

摘要: 刘博这是刘博谈准确度第二篇,本篇主要对正确度评价方法的第一部分进行讨论。2.4方法学比对2.4.1 概述本方法主要用于评价同一检验项目两种考核试剂之间的偏倚,并确定其偏倚是否在可接受的范围之内。通常两种程序分 ...


刘博


这是刘博谈准确度第二篇,本篇主要对正确度评价方法的第一部分进行讨论。


2.4

方法学比对

2.4.1 概述

本方法主要用于评价同一检验项目两种考核试剂之间的偏倚,并确定其偏倚是否在可接受的范围之内。


通常两种程序分别被称为参比试剂和考核试剂,参比试剂可以是JCTLM推荐的参比试剂,也可以是厂家选定的参比试剂。


本部分参考美国临床和标准研究院(CLSI)发布的EP09-A3,EP09-A3主要有三方面用途:

  • 临床实验室新引入考核试剂与参比试剂的比对;

  • 厂家新建立的考核试剂和参比试剂相关性的研究;

  • 厂家对新建立的考核试剂声明的确认。


本部分主要针对厂家的应用。


2.4.2 测试方法

A、目的


生产厂家必须建立定量测定某种待测物的考核试剂同一个参比试剂间的关系,理想状态下选用JCTLM推荐的参比试剂。


然而,有时一个新的考核试剂的分析性能会优于参比试剂,例如,使用自动本外诊断程序替代微孔板的手动程序。


在这类情况下,主要目的是建立两种程序间的偏倚。


B、样品要求


比对应使用未经处理的患者样品,分析物浓度应尽可能在测量范围内均匀分布。


应记录样品信息,例如,基本信息,临床诊断和样品状态(是否存在脂血、溶血、黄疸、浑浊)。尽量保存足够的样品供重复测定。


如需使用处理过的样品(如添加高浓度样品),应少于比对样品总数的20%。任何处理过的患者样品都需要在结果中注明。


C、样品储存


必须保证由于运输或储存条件的变化不会影响任何一个考核试剂。在考核试剂和参比试剂使用的分装样品在储存和处理上应尽可能一致。


D、样品数量


体外诊断试剂生产厂家用于建立或确认声明标准的,样品数量应不少于100份,不同情况下进行比对研究的样品数量要求详见表1。


如果两种考核试剂对于两个临床相关人群的检测关系存在差异,则每一个人群均需要至少100份样品的研究。


这种差异需要在厂家产品标识或在临床文献中表述。


例如,两个免疫检测试剂可能对于妊娠期女性样品具有一种相关性,而对于男性样品具有另一种相关性,可能两种人群的交叉反应物浓度存在差异,从而对两种考核试剂产生不同的影响。


另一个例子是检测甲状旁腺激素的两种考核试剂可能在检测正常肾功能患者样品时非常相近,而在检测透析患者样品时差异很大。

表1|EP09-A3对厂家和实验室比对研究样品的数量要求


E、测试次数


用于确认声明的标准,重测1次;如果是其他用途,可重测1次或多次。


F、测量区间


对于体外诊断产品生产厂家而言,建立和声称确认的研究都是确定考核和参比试剂在最宽的检测区间的关系。需要收集考核试剂在整个测量区间的样品,而不仅仅是参考区间或医学决定水平。


G、测量时间和期限


对于一个给定的样品,考核试剂和参比试剂应在待测物稳定的时间段内进行测试。


如果可能,最好使用当天的样品进行测试。


如果使用储存的样品,应确保样品的稳定性,以满足参比试剂和考核试剂的要求。


两种程序的测量样品需要以相同方式保存,以避免储存条件不同引入新的变量。


H、测量顺序


参比试剂和考核试剂应按随机顺序测定每批样品。


I、数据收集期间的检查和质控


数据收集期间需要进行检查,防止出现错误。实验中必须遵循合适的质控(QC)程序,保留质控图。


J、参比试剂的选择


最好能溯源至标准物质或参比试剂。然而,有很多产品并没有参比试剂,也没有参考物质,无法溯源至SI单位,没有办法进行标准化,而只能进行一致化。可以选择市场上已有的产品或者接受度较好的非同种方法与待测物产品进行比较。


2.4.3数据处理和分析

体外诊断试剂厂家可基于EP09-A3叙述的基本程序对收集的数据作初步考察,并选用任何一种有效的统计方法分析数据,但最终应在有关医学决定水平上确定考核试剂与参比试剂之间的偏倚。


A、方法学比对与偏倚


对参比试剂和考核试剂的测定结果作图并进行目测检查。通过绘制偏差图、散点图初步判断样品浓度的分布情况并了解方法间差值变化情况,为此后选择何种统计方法进行更合理的评估作分析。


偏差图分为数值偏差图和排序偏差图,数值偏差图的x轴为参比试剂测量值,y轴为考核试剂与参比试剂的差异值或者差异值的百分比。


排序偏差图是对参比试剂的测量值进行排序,以序号为x轴,y轴为考核试剂与参比试剂的差异值或者差异值的百分比。对于程序间差值呈比例变化[恒定变异系数(CV)]者,排序偏差图更优。


散点图中,x轴为参比试剂结果,y轴为考核试剂结果。散点图可以表示因变量随自变量变化的大致趋势。


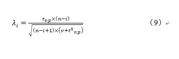
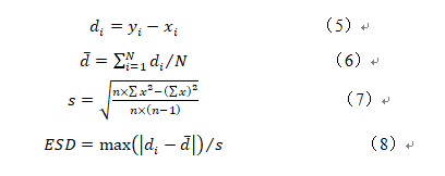
B、离群值检查


按照EP09-A3要求,通过广义极端学生化偏差(Extreme Studentized Deviate,ESD)方法检验离群点。具体步骤为:


1)根据100份样品的测定结果计算(y-x)/x的平均值和标准差,根据平均值和标准差计算最大偏倚ESD;

2)根据检验统计的样品量100计算临界值(λi);

3)若ESDi>λi,则认为该观察值为离群值,排除后进行第二个(i=2)最大偏倚比较;

4)离群值的个数是通过找到最大的i使得ESDi>λi;

5)排除离群值后补充数据,达到至少100例样品数量要求。



根据以上公式计算ESD,计算出所有可能的离群值。根据EP09-A3,离群值应不超过样品结果数量的5% (取整数),如果样品为112个,那么其离群值的数量(h)应不超过5个。


C、利用偏差图进行评估


对于恒定标准差(方法间差值较恒定)或者恒定CV(方法间差值呈比例变化)的偏差图,如果两种考核试剂间的差值呈正态分布则利用差值平均值作为估算偏倚。


如果两种程序间的差值呈非正态分布,则用中位数作为估算偏倚。


D、利用散点图进行线性拟合(回归分析)


临床实验室比对试验研究可以先进行偏差图分析,如果不理想再进行线性拟合回归分析。


但是厂家在建立和确认比对声明时,必须进行回归分析。


回归分析类型包含常规线性回归法(ORL)、加权最小二乘法(WLS)、Deming回归法和Passing-Bablok回归法。


E、医学决定水平处偏倚及回归


将医学决定水平浓度代人回归方程,确定其偏倚是否可接受。


2.5、其他正确度评价

通过对权威机构提供的室间控制品进行检测,检测结果与已知的“靶值”和可接受限进行比对,计算检测结果和“靶值”的偏倚,看是否在可接受的范围内。实验室室间质评物被众多实验室分析,它们的均值可以用于评估考核试剂的一致性。


EQA或正确度PT是为了客观比较一个实验室的测定结果与靶值的差异,用于评价实验室测定的准确度。


由外单位机构采取一定的方法,连续、客观地评价实验室的结果,发现误差并校正结果,使各实验室之间的结果具有可比性。


这是对实验室操作和实验方法的回顾性评价,而不是用来决定实时测定结果的可接受性。

声明:
1、凡本网注明“来源:小桔灯网”的所有作品,均为本网合法拥有版权或有权使用的作品,转载需联系授权。
2、凡本网注明“来源:XXX(非小桔灯网)”的作品,均转载自其它媒体,转载目的在于传递更多信息,并不代表本网赞同其观点和对其真实性负责。其版权归原作者所有,如有侵权请联系删除。
3、所有再转载者需自行获得原作者授权并注明来源。

最新评论

关闭

官方推荐 上一条 /3 下一条

客服中心 搜索 洽谈合作
返回顶部