立即注册找回密码

QQ登录

只需一步,快速开始

微信登录

微信扫一扫,快速登录

搜索

刘博谈临床|临床统计方法之十一——配对四格表资料的卡方检验

2021-7-29 00:00| 编辑: 沙糖桔| 查看: 4316| 评论: 0|来源: 诊断科学 | 作者:开发与验证

摘要: 刘博这是刘博谈临床第二十六篇,本篇主要对配对四格表资料的卡方检验如何实行进行阐述。对同一批观察对象或检测样品进行两种方法处理,结果以分类变量如阴性、阳性表示,可以采用配对四格表资料的x2检验,是对配对四 ...


刘博

这是刘博谈临床第二十六篇,本篇主要对配对四格表资料的卡方检验如何实行进行阐述。

对同一批观察对象或检测样品进行两种方法处理,结果以分类变量如阴性、阳性表示,可以采用配对四格表资料的x2检验,是对配对四格表资料的结果有无差异的检验。


举例:某实验室分别用化学发光法和胶体金法试剂对120例可疑的新型冠状病毒患者血清中IgM抗体进行检测,结果如下表所示,请比较两种试剂的检测结果有无差别。


其中,a和d是两种试剂检测结果一致的情况,b和c是两种试剂检测结果不一致的情况。为了比较两种试剂检测结果有无差别,只需比较检测结果不一致的b和c。

 

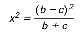
如果b=c,那么两种试剂的检测结果相同。如果,需要进行假设检验,检验统计量x的平方的计算公式,自由度v=1,公式如下:



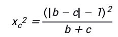
上述公式用于b+c≥40,若b+c≤40,可采用以下校正公式,自由度v=1:

本例的检验步骤如下:


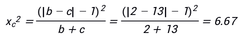
H0:b=c,即两种方法试剂的总体检测结果相同;H1:b≠c1,即两种方法试剂的总体检测结果不同α=0.05;b+c=2+13=15<40,用校正公式计算:

确定P值,作出推断结论:

按照α=0.05的水准、拒绝H0;接受H1,可认为两种方法试剂的检测结果不同,其中化学发光法试剂的阳性检出率高于胶体金法试剂。


需要说明的是,上述配对四格表资料的x的平方检验一般适用于b+c≥20的情形,当b+c<20时,宜采用配对四格表资料的精确概率法。


事实上,该精确概率法适应于所有配对四格表资料,只是b+c较大时计算量较大,目前许多统计软件已可实现精确概率的计算。上例若采用配对四格表资料的精确概率法可得到P=0.0074,结论与x的平方检验相同。


声明:
1、凡本网注明“来源:小桔灯网”的所有作品,均为本网合法拥有版权或有权使用的作品,转载需联系授权。
2、凡本网注明“来源:XXX(非小桔灯网)”的作品,均转载自其它媒体,转载目的在于传递更多信息,并不代表本网赞同其观点和对其真实性负责。其版权归原作者所有,如有侵权请联系删除。
3、所有再转载者需自行获得原作者授权并注明来源。

最新评论

关闭

官方推荐 上一条 /3 下一条

客服中心 搜索 洽谈合作
返回顶部