立即注册找回密码

QQ登录

只需一步,快速开始

微信登录

微信扫一扫,快速登录

搜索

刘博谈临床|临床统计方法之十——Kappa一致性检验

2021-7-21 00:00| 编辑: 沙糖桔| 查看: 5064| 评论: 0|来源: 开发与验证

摘要: 刘博这是刘博谈临床第二十五篇,本篇主要对Kappa一致性检验如何实行进行阐述。Kappa一致性检验根据定性分析四格表结果,具体方法如下:其中,Pa为“实际一致率”,Pe为“理论一致率”;n为a+b+c+d。Kappa值的假设检 ...


刘博


这是刘博谈临床第二十五篇,本篇主要对Kappa一致性检验如何实行进行阐述。



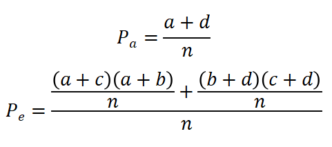
Kappa一致性检验根据定性分析四格表结果,具体方法如下:

其中,Pa为“实际一致率”,Pe为“理论一致率”;


n为a+b+c+d。


Kappa值的假设检验:

检验统计量Z服从标准正态分位数。N为观察总例数,Sk为K的标准误,K除以Sk,构造出Z统计量,进而可对一致性进行假设检验。K的95%置信区间为(K-1.96Sk,K+1.96Sk)。


采用Kappa一致性检验时,通常需要在试验方案中就设定评价标准,例如,可规定K>0.8为高度一致,0.4~0.8为一致,<0.4为不一致。从较为严格的意义上考虑、最好是按照K的95%置信区间的下限值进行一致性判定。


声明:
1、凡本网注明“来源:小桔灯网”的所有作品,均为本网合法拥有版权或有权使用的作品,转载需联系授权。
2、凡本网注明“来源:XXX(非小桔灯网)”的作品,均转载自其它媒体,转载目的在于传递更多信息,并不代表本网赞同其观点和对其真实性负责。其版权归原作者所有,如有侵权请联系删除。
3、所有再转载者需自行获得原作者授权并注明来源。

最新评论

关闭

官方推荐 上一条 /3 下一条

客服中心 搜索 洽谈合作
返回顶部