立即注册找回密码

QQ登录

只需一步,快速开始

微信登录

微信扫一扫,快速登录

搜索
小桔灯网 门户 资讯中心 检验杂谈 查看内容

【冯仁丰】学习美国CLSI的EP05-A2和A3文件

2021-7-21 10:51| 编辑: 沙糖桔| 查看: 3869| 评论: 0|来源: 冯仁丰

摘要: 由于受人所托,要求我介绍检测系统分析性能系列内容。时间过得很快,因为新冠病毒在全世界蔓延,整个世界上的许多事,都被拖延或停止了。尤其是许多与经济运行有关的事。国内在病毒管理和控制上做得非常及时和严密, ...

由于受人所托,要求我介绍检测系统分析性能系列内容。时间过得很快,因为新冠病毒在全世界蔓延,整个世界上的许多事,都被拖延或停止了。尤其是许多与经济运行有关的事。国内在病毒管理和控制上做得非常及时和严密,才使我们国家的新冠病毒发病率最低!感谢我们党和政府的英明领导!


由于对病毒的控制,去年我几乎没有外出。因此,在介绍临床实验室检测系统分析性能上,尽管我很熟悉,但是我的习惯一定是必须做好备课。迅速地翻阅各个性能的多媒体,心中也不断地在回忆这些性能内容。当我回顾精密度内容时,我对EP05-A3文件还有很多不理解的地方,促使我重新阅读这个文件。


临床实验室检测最大的、也是最突出的“特点”,是实验室对每个病人样品的每个要检测的分析物,都只进行单次检测就发出报告!这是在所有行业对样品检测出示报告的实验室中,是绝无仅有的!因此,临床实验室要确保检测结果的可靠,不是像其他领域的实验室那样,首先考虑的是结果是否准确;临床实验室首先要考虑的是如何确保检测结果的重复性!


由于临床实验室已经习惯自己的检测行为,检验人员似乎都已经忘记了,我们是对每个病人样品检测,仅仅只做了一次就发出报告的做法!因此,一个临床实验室的人员,一定要懂得,任何检测项目,第一要确保检测结果的重复性,即精密度!没有了重复性,这样的检测结果毫无价值! 


世界上对如何了解和评估检测使用的分析系统(在临床实验室,我们是完成检测需要的仪器、试剂、校准品、和操作程序的组合!)的精密度,很早就为如何进行精密度性能的评估形成了标准文件。最早形成精密度文件的是美国原“国家临床实验室标准委员会,National Commiittee of Clinical Laboratory Standard,NCCLS”。我有最早的EP05-P文件,是1981年发表的!


国际标准化组织(ISO)在1986年形成了“检测方法和结果准确度(正确度和精密度)”文件第一版。该文件称为ISO 5725。内含多个系列文件。它的第二部分为“确定标准检测方法的重复性和再现性的基础方法”。第三部分为“标准方法精密度的中间度量”。


由于ISO文件涉及各个领域的使用。因此文件中列举的示例多为其他领域的内容。


由于美国的临床和实验室标准研究院(Clinical and Laboratory Standard Institute, CLSI)[它的前身即上述的NCCLS]为了向国际靠拢,在很多文件的编辑中引用了ISO的观点和做法。这个EP05文件的内容,已经使用了许多年,从1981年12月的Proposed提议版开始,1992年修改为暂定版(Tentative),到1999年2月才正式批准为EP05-A文件。2004年8月再次修改批准为EP05-A2版文件。所有各个版本,如何进行精密度实验和对数据的处理,几乎没有什么改变。由于临床实验室看得懂,可以按照文件进行具体实验,实验数据处理可操作性非常好,因此,被全世界的所有临床实验室接受。


EP05-A3文件发布于2014年10月。整个内容被全部改写。完全按照ISO的做法,以方差做法进行了实验设计和数据处理。因此,如何理解和学习EP05-A3文件是需要认真对待的。


我的统计学基础很差。边干边学习。至今很多统计学内容还不懂。但是,现今国内和国外的医用统计方法的书籍中,真的还没有看到使用方差分析的方法,来进行重复性实验的设计和数据处理的。我们应该怎么去理解EP05-A3文件?


为此,我必须从头学习统计学。以下,我将自己在这一段时间里学习统计学的体会,向大家报告。


一、什么是标准差?


标准差是表示一组变量离散程度(dispersion)的指标,均数和标准差结合起来,能更全面地说明一组变量值的分布情况。标准差的平方称为方差(variance),在统计分析上也很有用。

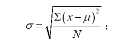
总体标准差公式:

式中:σ为总体标准差;x为变量值;μ为总体均数;N为总体中变量值的个数。


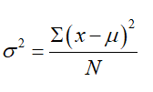
因此方差即:

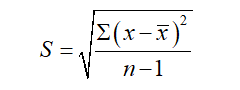
由于统计的资料不可能是一个事物的总体,而是由样本来估计总体标准差。以样本标准差估计总体标准差可用公式:

注:统计书中表示标准差使用了是大写S!


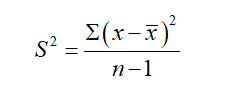
所以方差在一般资料中应该是:

(这是我的理解!) 而总体方差就是σ2


说到这里,我了解了,原来我们表示不精密度使用的标准差,它的平方值就是方差!因此,精密度使用标准差表示在某个均值下,表示了组成这个均数的所有各个值,对于均值的离散程度的大小。


这些是我们喜欢均值引出的问题!我们在需要均值的同时,还想了解组成这个均数的所有各个检测值的离散情况。可惜均值居中,无法用每个x和均数的差异之和∑(x-均数)来表示!因为较均数大的差值为正,较均数小的差值为负!正负相消没有价值,才采用了∑(x-均数)2,这个离均差平方值。为了消除组成均数的个数的影响,出现了真正的方差∑(x-均数)2/(n-1)。


二、什么是方差分析


我学习的统计学书,是金丕焕和陈峰主编的“医用统计方法”(第三版),由上海复旦大学出版社2009年出版。


在书中第62页。第六章 方差分析(一)第一节 方差分析的基本概念


方差分析(analytical of variance,ANOVA)是检验两个或两个以上样本均数间差别有无统计意义的方法。方差分析要求数据服从正态分布,且多个组有共同的总体方差(方差齐性)。


样本均数间之所以有差别,是由两种原因:首先它必然有随机误差(包括个体间差异)的影响;其次,如果各组所接受的不同处理(treatment)是有不同作用的,那么,它也有因处理不同所造成的影响。


如果当处理因素没有作用时,用方差分析方法算得的组内均方(within group mean square)— MS组内与组间均方(between group mean square)———MS组间都是σ2的估计,即用组间均方除以组内均方所得的统计量为F(即F =MS组间/MS组内)。如无抽样误差,F应等于1,但由于总是存在抽样误差,且组内均方与组间均方都只是的σ2估计,所以F不总是等于1。


从以上这些内容,清楚地看到,在统计中使用的方差,是用来对样本均数间差异有无显著性的判断。与计算标准差没有关系!但在ISO 5725和EP05-A3文件中,都广泛地使用了方差分析的做法。显然这些是原来统计学没有预料或考虑的。


从使用电脑和软件计算实验结果上,也许以方差分析的做法更可取。但是,从临床实验室理解均值和标准差上,原先的EP05-A2文件的做法,更能够接受!


原先EP05-A2的实验设计上,是让临床实验室对一个样品先进行重复性实验。在1批内重复检测两次,即双份检测。因此,这两个结果间的差异,即为批内差异。一天内先后2批的双份检测的均值间差异,为当天的批间差。连续20天这样的实验,每天两批检测结果的每天均值,在实验的各天间的差异,即成为天间差异。由此,可以让实验室很快了解了该样品的批内、批间、和天间的差异。将所有数据综合起来,可以计算出实验室内的精密度。原来被称为总不精密度,现在应该称为实验室内不精密度。如果只想知道这20天的所有检测结果的不精密度,将所有20天、40批、80个检测结果一起算一个标准差。结果,这就是该实验室对该样品检测20天的所有结果的总的不精密度!


我本以为,在EP05-A3发布后,EP05-A2被取消了。但是在EP05-A3的前言中,说的很清楚。编制文件的专家们,从来没有认为以往的EP05-A2版本是过时的。只是从扩展到多天等的精密度计算上,原EP05-A2版本的计算方式不适宜使用电脑和软件计算。因此,推出EP05-A3版本确实是今天整个世界在使用电脑和软件上的巨大进步。


我与年轻人相比,很多掌握的内容都与我一样是老化了!但是,还有许多内容,就像今天在讨论的精密度评估时,出现方差分析那样的兼容,这需要我认真学习和逐渐适应。还有许多诸如检测系统的分析性能的很多内容,我们有不少的检验同道懂得不多。所以,为了让我们的临床实验室为老百姓的服务做得更好,我们必须努力学习!


我的体会供大家参考!还希望年轻人多多地帮助我这个老人!我要与大家共同进步!


声明:
1、凡本网注明“来源:小桔灯网”的所有作品,均为本网合法拥有版权或有权使用的作品,转载需联系授权。
2、凡本网注明“来源:XXX(非小桔灯网)”的作品,均转载自其它媒体,转载目的在于传递更多信息,并不代表本网赞同其观点和对其真实性负责。其版权归原作者所有,如有侵权请联系删除。
3、所有再转载者需自行获得原作者授权并注明来源。

刚表态过的朋友 (0 人)

最新评论

关闭

官方推荐 上一条 /3 下一条

客服中心 搜索 洽谈合作
返回顶部