立即注册找回密码

QQ登录

只需一步,快速开始

微信登录

微信扫一扫,快速登录

搜索

刘博谈临床:临床统计方法之六——Bland-Altman一致性分析

2021-6-23 09:49| 编辑: 沙糖桔| 查看: 7512| 评论: 1|来源: 开发与验证

摘要: 这是刘博谈临床第二十一篇,本篇主要对Bland-Altman一致性分析如何实行进行阐述。以考核系统和参比系统测定值计算出一致性界限LoA (均值±1.96标准差)作Bland-Alman图,观察并分析各点的偏倚分布情况。为了考虑LoA ...


这是刘博谈临床第二十一篇,本篇主要对Bland-Altman一致性分析如何实行进行阐述。

以考核系统和参比系统测定值计算出一致性界限LoA (均值±1.96标准差)作Bland-Alman图,观察并分析各点的偏倚分布情况。


为了考虑LoA的抽样误差,可对LoA范围进行置信区间估计,LoA需要覆盖多大的范围需要事先确定,通常用95%范围。置信区间自然也需要事先确定可信度大小,通常也用95%。


通俗地讲,就是在95%的可信任度下做出的决策能够满足总体上95%的要求。另外, MOVER法用于方法对比研究重复测量设计的LoA置信区间估计时具有很好的统计学性能。


LoA应在临床认可的界值之内,方可认为两种方法的定量测定结果一致性好,可以替代使用。


当对比方法是临床参考标准时,Bland-Alman图的x轴为参考标准的结果;当对比方法是两种同品种试剂测定结果时,Bland-Altman图的x轴为两者均值的结果。


做考核系统测定值与参比系统测定值的差值对均值的散点图,根据数据行为构造95% LoA。若数据行为良好,即差值的偏倚服从正态分布、为固定偏倚且差值的方差齐同,则进行经典的Bland-Altman 95%LoA的构造。


若存在比例偏倚但方差齐同,可围绕差值对均值的最小二乘回归的最优拟合线构造对称的95% LoA。


若差值的方差不齐,可进行数据转换,包括对原始值进行对数转换,或者采用两测量方法的比值,或者将差值转换成差值/均值的百分比,达到数据行为的要求后,再构造经典的Bland-Altman 95% LoA;或者借助回归分析技术构建水平V形95%一致限的方法。


数据行为分析方法如下:


1、差值的正态性判定

可首先对差值绘制直方图进行目测直观评估、如果分布出现偏斜或拖尾,则可能不服从正态分布。也可通过对差值绘制Q-Q图、P-E图进行直观评估,如果图中散点紧密分布在对角斜线的附近,则可考虑服从正态分布。


另外,还可借助假设检验的方法进行客观定量的正态性检验。常见的正态性检验方法有Kolmogorov-Smirnov检验、Shapiro-Wilk检验,以及偏态系数和峰度系数结合的检验方法等。


对于正态性检验,通常用0.10的检验水准、当检验结果不拒绝无效假设时,可认为差值服从正态分布。


2、差值比例偏倚判定

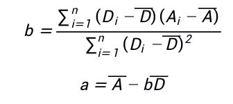
令,D=y-x,A=(y+x)/2,进行差值对均值的最小二乘回归分析,得到斜率b和截距a:

D可用下述公式表示:

作线性回归方程的斜率b与0假设检验,若P>0.05,即斜率与0的差异无统计学意义,则认为差值的偏倚为固定偏倚,否则认为差值存在比例偏倚。


3、差值方差齐性判定

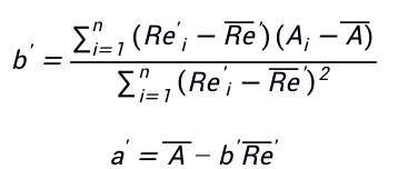
在差值对均值的一般最小二乘回归得到的线性回归方程^D=a+bA的基础上,提取差值与差值的回归预测值的差值作为残差,将所有残差绝对值化,即

进行绝对值化残差对均值的最小二乘回归分析,得到回归方程的斜率b'和a'截距:

可用下述公式表示:

作线性回归方程的斜率b与0的假设检验,若P>0.05,即斜率与0的差异无统计学意义,则认为差值的方差齐同,否则认为差值的方差不齐。


还需说明的是,无论是两种检测结果的差值均数,还是差值的95% LoA,都只是样本统计量,并不是对总体一致性的统计推断。


因此,近年来有很多专家强烈呼吁要进行一致性的正确评价必须考虑样本抽样误差的问题,建议计算差值的均数及95% LoA的95%置信区间,并依此与临床允许的误差界值进行对比作出一致性的评价结论。

声明:
1、凡本网注明“来源:小桔灯网”的所有作品,均为本网合法拥有版权或有权使用的作品,转载需联系授权。
2、凡本网注明“来源:XXX(非小桔灯网)”的作品,均转载自其它媒体,转载目的在于传递更多信息,并不代表本网赞同其观点和对其真实性负责。其版权归原作者所有,如有侵权请联系删除。
3、所有再转载者需自行获得原作者授权并注明来源。
发表评论

最新评论

引用 beichen911z 2021-8-11 23:52
莱文检验检验方差齐同能否代替残差回归方程

查看全部评论(1)

关闭

官方推荐 上一条 /3 下一条

客服中心 搜索 洽谈合作
返回顶部