立即注册找回密码

QQ登录

只需一步,快速开始

微信登录

微信扫一扫,快速登录

搜索
小桔灯网 门户 资讯中心 检验杂谈 查看内容

Westgard多规则质控诞生40周年!

2021-5-13 00:00| 编辑: 沙糖桔| 查看: 4652| 评论: 0|来源: 冯仁丰

摘要: 1981年Westgard发表了世界著名的Westgard多规则文章“临床化学质量控制的多规则Shewhart控制图”(A Multi-Rule Shewhart Chart for Quality Control in Clinical Chemistry,James O. Westgard, et al. Clin Chem 1 ...

    1981年Westgard发表了世界著名的Westgard多规则文章“临床化学质量控制的多规则Shewhart控制图”(A Multi-Rule Shewhart Chart for Quality Control in Clinical Chemistry,James O. Westgard, et al. Clin Chem 1981; 27/3, 493-501)。奠定了现代临床实验室质量控制的基础。

    下面转发一下冯仁丰先生对这篇文章的经典翻译,既向Westgard致敬,也向冯仁丰先生致敬!

作者:冯仁丰

来源:冯仁丰 微信公众号


临床化学的多规则Shewhart质量控制图

A Multi-Rule Shewhart Chart for Quality Control in Clinical Chemistry

编写者:James O. Westgard,Patricia L. Barry,Marian R.Hunt。威斯康辛大学卫生科学中心医学系、病理系、和临床实验室系。Torgny Groth,瑞典Uppsala大学数据中心,生物医学信息组。

审核者:Robert W.Burnett;哈佛医院临床化学实验室。Adrian Hainline,Jr;疾病控制中心(CDC),实验室局,代谢生物化学部,临床化学标准化室。Ralph E.Thiers;咨询专家。

责任编辑:Henry Nipper;退伍军人公立医院。


引言

统计控制程序是质量控制全面系统的一个重要因素。本讨论的目的是介绍一个简单的统计程序,可广泛地应用和实践于临床实验室。这里建议的控制程序使用稳定的控制物质,在很长时间内重复进行分析。这个类型的控制程序首先由Shewhart叙述[1],以后又有Levey-Jennings引入临床化学[2]。将控制数据绘制于控制图上,有时被称为“Shewhart控制图”,后来被称为“Levey-Jennings控制图”。

这个类型的控制图现在使用于所有的临床实验室。在各个实验室间应用的差异主要因(a)作单次控制检测或重复检测,(b)在决定分析批是否在控或失控的指标。据我们所知,知道大多实验室只作单次控制检测,而不是双份检测;所以,使用单值控制图较重复检测的控制图更常见。因为这样,我们关注于单值控制图和决定判断限指标,以适应这样的图。这些指标的选择是依据它们的统计性质的一些研究[3-5],对各批产生的少量控制观察值进行解释,而不是对至少有20或以上的观察控制值组成的控制图做解释。所以,我们集中在对数据报告作出即刻的决定,而不是对大量控制图数据进行回顾性的评估。


在推荐多规则Shewhart程序中,目的是提供

(a)简单的数据分析、并通过控制图分析和展现,不必使用计算机作数据处理;

(b)临床实验室容易接受、并能结合现有的控制工作;

(c)假拒绝率和假警示率很低;

(d)改善了检出分析误差的能力;

(e)可指示出失控时分析误差的类型,便于解决问题。

 

原理


控制分析方法首先研究的是确定方法的分析性能。假定控制物质是稳定的、瓶间差小,对这样的控制物质的重复检测确定了分析方法的不精密度和随机误差。也假定这些误差呈正态分布,可用均值(

)和标准差(s)予以叙述。这些统计量一般来自超过20天的重复检测结果、每天进行一批检测、每批对每个控制品检测一次计算而来。


对每个控制物质绘制一个控制图。图的x轴为时间、y轴为分析浓度。在图中间有一个水平线为均值,在均值线上、下各有标准差计算的控制上限和下限。多组控制限被推荐在控制图上,以适用于几个不同的决定指标或控制规则。


我们使用词“控制规则”说明判断观察的控制值(或观察值)是否代表分析方法典型的或非典型的(稳定的和不稳定的)性能。可使用许多不同控制规则,但是它们在控制值不再代表预期的或以往观察的误差分布时,会提示信号。同时使用多个控制规则-即控制规则的组合-可改善控制程序的性能。各个规则在检出不同类型分析误差具有不同的能力。至少需要选择两个失控规则,一个检出随机分析误差、另一个检出系统分析误差。当控制程序发出信号须拒绝某批分析结果(分析批)时,特定的失控(控制)规则提供的信号给出一些指示:发生了哪种类型的分析误差。转而会建议误差的某些原因,所以有助于解决问题。简言之,违反的规则给出了误差类型的一些指示,也即提供了误差来源的提示。


注:这里使用的术语(即控制规则、控制规则的违反)在书写和口头表示上,是为了便于讨论。但是,Adrian Hainline,Jr评论指出,在出现失控情况时,可引起分析人员感觉做错了什么。在这个道理上,词语的选择是不成功的。使用词语“决定指标”应更有目的,但是,发现表示不符合指标的习惯词语不容易。另外,在口头表示中,单一和复合(指标)有困难。这些规则或指标是,当然,是统计检验,但是在谈论这些检验变得更糊涂。


选择的控制规则可提供低的假性拒绝率和高的误差检出率。“假性拒绝”为分析过程或分析方法依然稳定时,因分析方法基础的随机误差或固有的不精密度,却依然发生了拒绝的信号。所有控制程序提供了一些假拒绝率,但是对控制规则的相应选择可保持该比例很低(<5%)。“误差检出”为:分析方法有问题的情况。除了分析方法的固有误差外还有分析误差发生了漂移或偏移,造成系统的分析误差。标准差会增大,引起方法的分析随机误差增大。在存在这样的外加误差时,推想控制程序可检出它们,并提供拒绝的信号。


在选择控制规则时,重要的是首先考虑假拒绝可能性,不用具有的假拒绝可能性超过0.05或百分率为5%的规则[3,5]。然后,从余下的规则中,至少选择一个规则主要检出系统误差、至少有一个主要检出增大的随机误差。应选择每批控制观察值的次数(N),提供误差检出要求的可能性。


这里推荐的控制程序,使用多个控制规则,这里称为“多规则”Shewhart程序。每天运行该控制程序,每批分析中包括了控制物质的样品。当违反任何一个控制规则时,做出决定拒绝该分析批结果。没有违反任何一个控制规则的,决定接受该批的分析结果。

材料和方法


控制物质

详细叙述控制物质特性不是我们的目的。Bowers等[6]已经在选定方法(Selected Methods)以往卷中讨论了控制物质。

一般的控制物质可适用于大多实验室,虽然每个物质对某些分析物有局限性。所以必须选择相应的控制物质适用于不同的分析物,而不是对所有方法使用相同的控制物质。


一般而言,最重要的性质是控制物质的表现与真实的样品很相似、有足够的量供一年以上的使用、在使用期中是稳定的、可适当分配方便使用、分装瓶间浓度差小。这里介绍的控制系统,建议使用两个不同浓度的控制物质,每批样品检测时同时检测每个控制物质。控制物质的浓度可选择正常值、具有医学决定水平的,或临界仪器性能限值(如线性的上限或低限)。


控制规则(决定指标)

为了简便,使用符号代表不同的控制规则。符号的式样为AL,A为某统计量的缩写、或每批观察控制值的个数,L是控制限。


12S代表的控制规则为:有一个控制值超出了设定为

的控制限。在Shewhart控制图中这是“警告”规则,要求对控制数据作更多的检查,以下面的规则检查,判断该分析批的结果应属可接受或拒绝(不可接受)。symbolize


13S表示的控制规则为:有1个控制值超出了设定为

的控制限,该分析批被拒绝。在Shewhart控制图中这是通常的“措施”或拒绝限值。


22S是控制规则:有2个连续的控制值超出了或

相同的限值,该批分析结果被拒绝。本规则开始运用在一批内的2个控制值,它们各来自不同的控制物质。2个控制物质的控制观察值均超出它们相应的+2s控制限或它们相应的-2s控制限时,该批结果被拒绝。该规则也可应用于相同控制物质的连续2次观察值,一个控制物质在2个连续批的观察值间的表现。应用在不同物质的连续观察值间,可作为“跨”物质间的规则;以区别来自相同物质的连续观察值,或“物质”内的规则。


R4S是控制规则:在一批内的2个控制物质的控制观察值间的范围或差异超过了4s,该批分析结果被拒绝。本规则被实施于:一个控制物质观察值超出了+2s限值、另一个控制物质的观察值超出了-2s限值,即每个观察值均超出了2s,但是方向相反,组成了两个观察值间总的4s差异。


注:Robert W.Burnett.指出:这个范围规则可应用于一个控制观察值超出如+2.5s、另一个超出如-1.5s。这应是完美正确的,当然在没有计算机的数据处理下使用中很不方便或不实用。在一个观察值超出了3s限值应不困难,因为这本来就是失控了。所以,当观察值在2s~3s间,解释就会不明确。分析人员应依据他的实验室实际情况,决定如何处理。

(注:再次重新阅读这个R4S规则,Westgard当时就倾向于两个控制品的检测值,一个超出+2s,而另一个超出-2s!)


41S是控制规则:有4个连续控制观察值超出了或相同的限值,该批分析结果被拒绝。这些连续观察值可发生于1个控制物质内,要求检查在4个连续批内的观察值;或发生在控制物质间,仅要求检查现有的与前一批内观察值。


10x是控制规则:有10个连续控制观察值均在均值(

)相同一侧,该批分析结果被拒绝。这应要求检查在1个控制物质内出现10个连续观察值处在均值的相同一侧,或发生于2个控制物质各有5个控制观察值处在均值的相同一侧。


使用这个组合的控制规则于手工应用的实际方式,可参见图1。此时12S规则用作警告规则,然后使用其他控制规则对数据作更仔细的检查。如果没有控制观察值超出2s限值,该分析批的结果为在控,可报告病人结果。若任何一个观察值超出了2s限值,则应用13S、22S、R4S、41S和10X规则检查控制数据。如果没有违反任何一个规则,则该批结果依然在控。若违反了任何一个规则,则该批结果为失控。违反某个控制规则可提供发生分析误差类型的指示。由13S和R4S检出最常见为随机误差;由22S、41S和10X规则检出的通常为系统误差,在非常大的情况下也可被13S检出。


图1、在多规则的Shewhart程序中使用系列决定指标(控制规则)的逻辑图


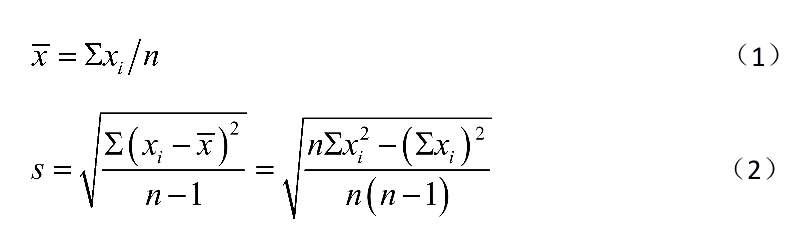
控制限值的计算

有以下等式计算均值(

)和标准差(s):


式中为各个控制观察值,n是在分析阶段时间内收集的控制观察值个数。开始的估计值经常来自n约为20的数据组。n在这样小的时候,这些估计值不可靠。当有了较多的控制观察值累积后重新估计。可以分析更多的数据组,记录n、、和。将不同组的数据加起来,得到累积的这些总值。然后用于等式1和2,计算

和s的累积估计量。


由和s计算以下控制限:

3s控制限值 =

                        (3)

2s控制限值 =

声明:
1、凡本网注明“来源:小桔灯网”的所有作品,均为本网合法拥有版权或有权使用的作品,转载需联系授权。
2、凡本网注明“来源:XXX(非小桔灯网)”的作品,均转载自其它媒体,转载目的在于传递更多信息,并不代表本网赞同其观点和对其真实性负责。其版权归原作者所有,如有侵权请联系删除。
3、所有再转载者需自行获得原作者授权并注明来源。

最新评论

关闭

官方推荐 上一条 /3 下一条

客服中心 搜索 洽谈合作
返回顶部