立即注册找回密码

QQ登录

只需一步,快速开始

微信登录

微信扫一扫,快速登录

搜索
小桔灯网 门户 资讯中心 技术杂谈 查看内容

Seer公司 Proteograph 技术简介

2021-2-2 14:24| 编辑: 沙糖桔| 查看: 3541| 评论: 0|来源: 毛肚吃狗粮的笔记本 | 作者:坛毛肚

摘要: Seer公司成立于2017年,总部位于美国加利福尼亚州旧金山,该公司利用其开发的Proteograph技术来进行大规模、平行、无偏、自动化、快速和低成本的蛋白质组学数据挖掘,并利用先进算法来分析这些数据,开发first-in-cl ...

Seer公司成立于2017年,总部位于美国加利福尼亚州旧金山,该公司利用其开发的Proteograph技术来进行大规模、平行、无偏、自动化、快速和低成本的蛋白质组学数据挖掘,并利用先进算法来分析这些数据,开发first-in-class液体活检产品,用于疾病的早期诊断和筛查。

Seer202012月纳斯达克IPO,募资~1.6亿美元,目前市值40亿美元。


痛点:

如何像profiling基因组信息一样得到蛋白质组信息是一个挑战。

例如,人类血浆,预估有10000+种蛋白,但是他们的浓度分布有10个数量级的差别,从mg/mLpg/mL,这在现存质谱技术平台下会造成结果的偏差。目前缺乏高通量、无偏好、快速的profiling蛋白质组的方法,特别是针对低丰度蛋白和多肽的检测方法。

 

Seer的解决方案:

在质谱之前进行高度平行的蛋白质分离,具体讲,提供了一种可扩展、高效的蛋白质鉴定和定量平台,利用多种超顺磁性氧化铁纳米颗粒(superparamagnetic iron oxideSPIONsNPs)独特的表面物化特性,可与蛋白组进行特定的相互作用,从而形成纳米颗粒表面的“蛋白冠”。


重点:每种纳米颗粒与蛋白质组(例如血浆),在特定条件下,所形成的“蛋白冠”不受每个蛋白浓度的影响。


文章中展示了三种纳米颗粒的实验结果,结构如下:

ζ电位(ζ)分析他们的表面电荷量,在pH7.4时,ζ值分别为−36.9+25.8−0.4 mV,代表负、正和中性表面。


NP的表征套路,从左至右:核心与表层结构;电镜检测形态;动态光散射测试粒径大小;高分辨率电镜检测形态和表层结构;XPS检测元素构成。

 

使用和操作流程:



工作流程包括四个步骤:

(1)NP -血浆孵育,蛋白冠形成;

(2)磁力纯化NP蛋白冠复合物;

(3)蛋白冠的消化和纯化;

(4) LC-MS/MS分析。


以上步骤可以在大约7个小时完成,Seer对此开发了自动化设备(移液平台模块与核酸自动纯化平台相似):

 

质谱结果(针对同一个样品的测试结果):

多肽的检测结果:CompleteIDs,三次重复中都可以检测到的多肽数量。与纯血浆相比,10NPs在多肽捕获方面还是有明显提升。

检测到的蛋白种类:经过含有10NPs Panel进行蛋白冠操作,使用DDA LC-MS/MS (1% protein and peptide FDR),总共可以得到1000+种蛋白,而未经处理的血浆得到大约200种。

检测精度:CV%分布方面,基本稳定在25%左右,纯血浆18%

检测浓度与蛋白丰度的关系:斜率的减小表明蛋白质信号强度的动态范围随丰度的变化而减小,即NPs可以通过亲和力结合有效地归一化(normalize)蛋白质丰度,从而有效地降低蛋白冠中丰度的动态范围,有利于低丰度蛋白的检出

Biomarker捕获数量:总数大于纯血浆检测结果。

 

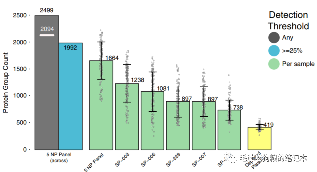
5NPs Panel的实战检验(针对141NSCLC样本的测试结果):

检测到的蛋白数量:明显高于纯血浆中捕获的蛋白种类。


聚类结果:纯血浆明显的聚为一类,5NP各自为阵,说明每种NP在不同样本间的捕获“喜好”基本一致。

 ROC曲线量化健康与早期NSCLC患者的分类表现:0.91

 

总结:

  1. 文中所公布的结果还是比较“保守”的,因为作者基本都是seer的员工,从学术的角度呈现该平台技术的亮点即可,暂时没有必要披露太多,毕竟有可能言多必失(更好和更差的数据都没有公布)。

  2. 平台技术的扩展性:其他体液样本、其他检测靶标(非蛋白类,比如代谢组),原理上同样适用,极大的扩展了现有质谱平台的可用性;另外,蛋白质互作也可以是应用方向。

  3. 文中前3个示例NPs均来自国内学者发表的成果:

产学研的重要性啊!科研成果要有对应的应用方向,不一定是起初的设计。另外,Seer的团队中也很多华人科学家的身影。


Seer的最近成立了子公司PrognomIQ,并获得了5500万美元的资助:“PrognomIQ将利用Seer的Proteograph技术,以前所未有的深度、广度和规模进行无偏蛋白质组学分析。PrognomIQ计划将这种独特的蛋白质数据与基因组学和其他组学数据结合起来,创建一种用于健康和疾病检测的差异化多组学方法。”

至此,Seer将继续对平台技术进行加强,PrognomIQ在应用端开始发力,这种双簧组合看起来不错,有illumina+Grail的意思。


重要专利:

WO2019209888A1/WO2020096631A2/WO2020198209A1


声明:
1、凡本网注明“来源:小桔灯网”的所有作品,均为本网合法拥有版权或有权使用的作品,转载需联系授权。
2、凡本网注明“来源:XXX(非小桔灯网)”的作品,均转载自其它媒体,转载目的在于传递更多信息,并不代表本网赞同其观点和对其真实性负责。其版权归原作者所有,如有侵权请联系删除。
3、所有再转载者需自行获得原作者授权并注明来源。

最新评论

关闭

官方推荐 上一条 /3 下一条

客服中心 搜索 洽谈合作
返回顶部