立即注册找回密码

QQ登录

只需一步,快速开始

微信登录

微信扫一扫,快速登录

搜索
小桔灯网 门户 资讯中心 技术杂谈 查看内容

质谱那些事——飞行时间质谱的诞生

2020-5-1 16:01| 编辑: 小桔灯网| 查看: 2679| 评论: 0|来源: 仪点点科学丨作者:tryallthetime

摘要: 飞行时间质谱萌芽于曼哈顿计划。在1942-1945年期间,一些科学家意图设计这样的系统:一个恒定的加速电压U,一段真空管提供固定的飞行距离L,利用离子到达探测器时间t的不同来进行质荷比m/z的区分。原理很简单,几个 ...


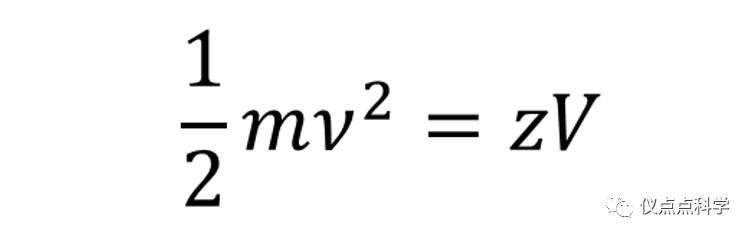
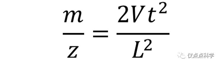
飞行时间质谱萌芽于曼哈顿计划。


在1942-1945年期间,一些科学家意图设计这样的系统:一个恒定的加速电压U,一段真空管提供固定的飞行距离L,利用离子到达探测器时间t的不同来进行质荷比m/z的区分。

原理很简单,几个基本公式即可理解:



鉴于保密的原因,这个想法并没有在科学杂志和专利文件上广泛传播,直到二战结束。


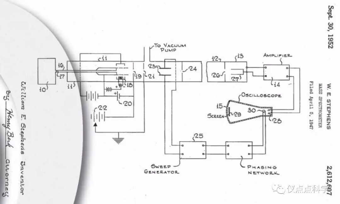
1946年,世界上第一次关于飞行时间质谱的公开描述出版在Physical Review,W.E.Stephens 提出。


1952年,W.E.Stephens 的TOF专利,初看像电路图


1954年,Bendix Aviation Corporation(本迪克斯航空公司) 研发部的W.C. Wiley撰写的TOF专利,看起来也云里雾里


Bendix,何许司也?



通过图片的描述Bendix应该是做各种关键零部件的,其他不了解,毕竟年代久远,加上隔行如隔山。


1955年,W.C. Wiley发表在Review of Scientific Instrument杂志上的文章“Time-of-Flight Mass Spectrometer with Improved Resolution”,系统讨论了飞行时间质谱两个非常重要的性能参数:灵敏度和分辨率。硬件设计框架如下:



此时TOF相对于当时的磁质谱(四极杆质谱还没出现),优势是显而易见的:

1 几个毫秒即可获得质谱图;

2 每个加速脉冲都可获得全谱质量数;

3 质量数的准确性要优于当时的磁质谱,毕竟电子回路各种参数控制的方便程度和精度要远远优于磁质谱里面狭缝的机械对齐和稳定均一分布的磁场。


然而当时的技术条件,分辨率并不是优势!



这是Bendix利用TOF测定氙气的同位素质谱图, 从左到右分别是128,129,130,131,132,134和136,按照现代飞行时间分辨率的计算方式,这个分辨率只有 大约 130/0.25=520。


简单的原理背后往往隐藏着工程难题!


如下图,在红色框源区和蓝色框加速区域,各个离子的初始能量 和 初始空间位置并非一致,而是分散的,造成了即便同样m/z的离子,到达检测器的时间也不同,用质谱峰宽来 定量表示这个差异程度,从上图也可以看到半高峰宽FWHM约0.25amu。



分散的离子能量和空间位置是限制飞行时间质谱提升分辨率的主要因素, 如果初始的空间位置和初始能量完全一致,那TOF的分辨率亦接近无限(检测器采集速率足够的情况下,不需要很长的飞行管)。


如何高效高技术进行初始空间位置和能量的聚焦,是仪器制造商需要去解决的技术问题,超出我们讨论的能力范围。


我们可以从现代产品来聊聊两个比较直观的简单粗暴的做法:


提高加速电压!


加长飞行距离! 


目标都是降低初始分散性在最终对应参数的比例,我想应该是好理解的,不做过多解释。


提高加速电压这种电子问题,好解决;

增加飞行距离需要考虑到东西比较多,主要的方式有两种:


1加长飞行管长度


2增加飞行管内反射次数。


——增加飞行管长度的典型代表有AB组合:Agilent vs Bruker


Agilent 6500系列的飞行时间质谱产品,没记错的话应该是2009年开始推出,以不费脑子的方式来丰富产品线,在分辨率指标上也好好地玩了一把文字游戏。


Bruker的QTOF产品线,随着分辨率的提升,产品的安装方式从桌面型向水泥墩上过渡。没有把timeTOF放进来,那是落地式安装。


以上两种如果实验室楼板吊顶高度比较低的,要慎重。


——增加反射次数的制造商代表是Leco


现在型号是Pegasus GC-HRT+,飞行距离最大可达40m,其中反射次数超过10次。


宣传口号“我们不一样,我们不妥协”。


在219m/z, 200张谱图每秒的扫描速度,可以达到50000的分辨率。




质谱看起来是个性能猛兽,有道是好马配好鞍,这个配上全二维气相应该是最佳。


在我们回到过去


1957年已有报道Gohlke 将GC和Bendix的TOF-MS联用起来,EI电子轰击离子源,离子化气体分子,加上TOF快速获取质谱谱的优势,两者联用简直是珠联璧合!


当时热门研究是石化方面,碳氢化合物的质谱解析需求很大,1953年的第一届质谱会议该领域内容占了大部分,可见当时GC-TOF组合,按淘宝说法,肯定“爆款”!


1961年的Bendix推出代表性的飞行时间质谱产品,型号Model 12-101A。



飞行距离1.7m, 右端的电子倍增管是Bendix自己开发的。

最上部的真空管就这么外露,一点都不遮掩。

现在能跟这个设计相媲美的,也只有Agilent的产品了——大漠孤烟直

Agilent 6560


整个1960年代,Bendix的飞行时间质谱产品独步天下,风光无限。


商机也孕育着危机

居安思危是亘古不变的真理


加州一个公司Finnigan Corporation于1967年成立了,Bendix当时并不知晓。


1970年代初,Finnigan推出非常成功的GCMS四极杆质谱产品,直接挑战TOF当时主要技术优势——扫描速度快。


四极杆质谱产品因为其他方便的各种优势,需要快速扫描的GCMS应用中,TOF逐渐被替代。


随着1939年成立的Hewlett Packard,没错,是惠普(其分析仪器部门是 Agilent的前身), 也快速跟进推出四极杆质谱产品,Bendix的TOF市场份额断崖式萎缩。


到1970年代中后期, TOF几乎被所有人遗忘了,也没有人在提及。


最终Bendix成为Consolidated Vacuum Corporation(真空系统和部件 的制造商) 的一个部门,后面很快也彻底关掉了。


昙花一现!


然,纵观当下的高分辨TOF市场,却在蓬勃发展,是谁从历史的坟墓中,踢开了TOF的棺材板,并让它焕发当前第二春?


这个故事会更精彩,留着以后再聊吧

声明:
1、凡本网注明“来源:小桔灯网”的所有作品,均为本网合法拥有版权或有权使用的作品,转载需联系授权。
2、凡本网注明“来源:XXX(非小桔灯网)”的作品,均转载自其它媒体,转载目的在于传递更多信息,并不代表本网赞同其观点和对其真实性负责。其版权归原作者所有,如有侵权请联系删除。
3、所有再转载者需自行获得原作者授权并注明来源。

最新评论

关闭

官方推荐 上一条 /3 下一条

客服中心 搜索 洽谈合作
返回顶部