立即注册找回密码

QQ登录

只需一步,快速开始

微信登录

微信扫一扫,快速登录

搜索
小桔灯网 门户 资讯中心 技术杂谈 查看内容

再说说精密度

2019-1-26 14:20| 编辑: 小桔灯网| 查看: 4431| 评论: 0|来源: 冯仁丰

摘要: 一、为什么将精密度放在分析性能的第一位?美国1988年发布临床实验室修正法规(CLIA)以来,该法规明确了描述一个检测系统分析性能指标。包括了6个内容:1、精密度;2、正确度;3、患者结果可报告范围;4、分析灵敏 ...


一、为什么将精密度放在分析性能的第一位?

美国1988年发布临床实验室修正法规(CLIA)以来,该法规明确了描述一个检测系统分析性能指标。包括了6个内容: 1、精密度;2、正确度;3、患者结果可报告范围;4、分析灵敏度;5、分析特异性;6、参考区间;7、其他必须的性能。


为什么将精密度放在分析性能的第一位?关键是临床实验室在检测患者样品时,对任何分析物或项目都只做一次就发出报告!这是全球临床实验室的特殊分析做法!因此,确保检测结果可靠性的第一前提是:检测结果的精密度要好。也即:同一个样品的再次检测结果是一样的!不然,临床和患者都不会满意。当临床和患者对临床实验室的结果有怀疑时,要求临床实验室再做一次。如果,重复检测结果与上次报告的一样,临床与患者都认为,实验室报告的结果是“准确”的!两次结果一样还不准确吗?其实这不是准确度,这是精密度好!因此,在任何时候,确保精密度第一是实验室的首要任务。


应某公司的咨询,该公司准备将美国临床和实验室标准研究院(CLSI)的EP-15文件,写成便于临床实验室使用的应用软件。我认为在形成软件之前,公司必须充分理解文件统计含义,绝不依样画葫芦。不然,今后在客户中遇到不理解的问题时,公司只会回答:这就是美国CLSI的EP-15A文件!将会影响公司的完美形象。但是,他们的想法促使我对该文件与EP-5文件再次认真阅读。


EP-15文件的重点是让临床实验室在使用某个新引入的检测系统时,必须对厂商声明的精密度和正确度分析性能进行验证。再次阅读EP-5时,发现原来在EP-5文件中早就对如何验证厂商的精密度性能提出了实验方案。


EP-5和EP-15在验证厂商精密度性能的统计做法一样,如果临床实验室使用与在某个厂商声明中使用相似分析物浓度的样品,进行精密度实验,得到不精密度指标(s或CV),小于或等于厂商提供的不精密度指标的(s或CV),则临床实验室的不精密度性能被验证;但若临床实验室的精密度性能指标CV或s大于厂商声明的CV或s时,临床实验室的该分析物项目精密度性能没有被验证,需要进行统计学检验。如果经统计学检验临床实验室的CV或s与厂商声明的CV或s没有显著差异,则依然认为临床实验室的精密度指标得到验证,反之不符要求。


二、究竟是F还是χ2

经反复阅读这两个文件后,突然注意到,它们在进行精密度的CV或s比较时,没有使用方差检验(Ftest),却使用了卡方检验(χ2)!令我感到突然。我查阅所有我的统计学书籍,所有书籍均无答案。它们提供的信息与我了解的一样,从来没有介绍使用卡方检验去判断不精密度的s或CV的大小。现在才认识到,国内的医学统计书籍从来没有将卡方检验列为对不精密度估计的统计手段!这是国内医学统计书的缺陷!


我只能向CLSI专家请教,他们很快就给了回答。经过几次的交流,CLSIEP-15的主席Dr.Neill Carey为我写了很好的回答。还怕我不理解,一定要我提出看法。我在EP-5的文件中看到了参考文献,去寻找无果而终,在美国和加拿大均没有。因此我很希望他能够提供使用卡方进行精密度评价的原始文件,他们回答没有参考文献!最后,还给了我非常详细讨论精密度问题的多媒体。我知道他的意愿是,让我知道一个小小的不精密度指标,有许许多多的学问。这些都给了我很大的启发。


我应该是国内了解美国临床和实验室标准研究院(CLSI,原为NCCLS)最早的人员之一。早于1988年在澳大利亚进修期间,看到导师有许多CLSI文件我幸喜若狂,在征得导师的许可后,我尽量复制了几个认为最要紧的标准文件,其中之一为EP-5:定量检测方法精密度的评价。回来后,我多遍阅读了这个文件,并且对每一次修改的版本都至少看过,自以为我是熟悉了解EP-5的人。恰恰只着重阅读该文件的前半部分,忽略了后面验证部分,才导至不知道以卡方检验标准差大小已经有了30余年了!

该图为30年前,我从澳大利亚带回来的的EP5-P的封面。为了弥补我过去的疏忽,近期我重新认真阅读EP05-A2文件,阅读后,更感到许多早已经在20年讲到的问题,我却一直没有去理解!


三、临床实验室检测系统精密度性能的重要性

1、方法学比较中精密度性能的影响

为什么在方法学比较评估检测系统的正确度时,EP9-A2文件强调对每份比对样品进行双份检测?应该了解两个比较方法均对每个样品仅做单次检测的比对,会受到方法不精密度很大的影响,使最后正确度性能的评估产生偏移。因此,进行方法学比较了解系统误差时,两个比较方法仅对每个样品只做一次的比对结果,肯定严重受到检测不精密度的影响,导至比对误差过大。


2、不精密度对线性实验的影响

EP-6是定量检测线性评价文件。实验对系列已知浓度或稀释关系的样品,进行检测。最早的EP-6P文件要求对每份样品对每份样品进行4次重复检测。只有这样,才可了解是否在实验中每组样品检测结果产生了离群点。也可真实了解是否具有确实的线性。这是精密度性能对线性的影响。


3、不精密度对基质效应评估的影响

EP-14是评价基质效应的文件,为了确认各个不同类型样品是否具有基质偏移,也要求对每个样品至少进行3次重复检测。期望临床实验室较以往应该更加重视临床检验基质效应的认识。医学事业的发展促使临床对更多疾病的深入了解,也对临床实验室提出了更多要求。面临众多分析物、被测量、和各类疾病的患者的新情况,必须重视基质效应!必须重视不同批号试剂盒间检测结果的差异!


4、不精密度对分析灵敏度的影响

EP-17是确定检出限值和定量限值的重要文件,为了真切了解某个检测系统可以报告的最低分析物浓度,它必须依赖检测系统(方法学)的不精密度水平。如果厂商或临床实验室不认真进行精密度实验,将错误的过小标准差估计的“检出灵敏度”称为自己产品或某个检测系统具有最佳检出限值,这将在临床诊断上造成的危害被这个精密度放大了!


四、临床实验室精密度的问题

在所有分析性能中,精密度性能只要进行重复检测,计算均值和标准差即可。这个做法涉及多个问题。


1、不同分析物浓度会影响不精密度的标准差大小。所以,应选择适当分析物浓度的样品进行重复性实验。


2、注意基质差异。绝大多数的实验室直接使用控制品进行重复性实验。没有意识到控制品样品与天然患者样品检测的基质差异。随着临床对实验室的需求不断增加,可以开展的分析物或项目增多下,实验室需要随时注意真实样品与控制品在检测某些特殊分析物时的显著差异。此时,需要重视使用真实患者样品或其混合物(混合血清)进行分析性能评估和开展质量控制等。


3、目前,实验室无论在评估某检测系统精密度性能或开展质量控制上,忽略了精密度估计的重要性。甚至,直接使用每天质量控制的重复数据计算不精密度数据,既是该检测系统的精密度性能,又是开展质量控制的基础资料。但是,我们是否注意到,对样品连做20次重复检测,计算均值和标准差;若你再次进行这样的批内重复检测,发现计算的精密度不一样!多年前,为一篇杂志文章上精密度水平引起讨论。经询问,作者为了突出自己报道的检测方法水平,她在许多次的多组重复检测数据中,找出标准差最小的那个数据作为性能资料。难怪读者仅做几次的重复检测实验,计算的标准差总是比她大,使他人认为该报告是捏造数据!


4、在设计一个评价实验时,必须在事先就决定如何很好地确定设施的实际精密度。每次运行一个有把握精密度方案,得到设施精密度的一个估计。当这个相同的方案在相同实验室再次在控制下的设施运行时,将得到一个不同的精密度估计,尽管实际精密度是相同的。这些精密度的估计可预期会环绕一个“精密度真值”周围分布,观察得到的估计越多,聚集在“真实”精密度的周围也更紧密。一般来说,观察数越大对一个估计有更大的可信心;估计的可信性越大,在检出性能的“统计功效”上也更大。


因此,每次重复性实验从统计上只是一次“抽样”,它其实并不是该检测系统对检测样品实验时的“真实(Ture)”标准差。只有做的越多,将它们的所有不精密度信息尽可能合并在一起,方能使“估计”的标准差向“真实”标准差靠得近一些,在实际工作中,这样的标准差也更有实际价值。片面地用一个不真实的标准差来“炫耀”实验室的精密度有多好,今后你的质量控制也越辛苦,除非你一直在修改数据自欺欺人!


所以,我们一直呼吁大家要认真重视自己的实验工作,要实事求是!不说假话!呼吁大家,每天开展的质量控制使用的均值和标准差,应该将每月的控制数据累积计算,求出真实的均值和标准差,这样才如实反映你实验室的状态;也使你每天的工作轻松愉快,因为,它将很少出现让你要做“虚假”处理的状态。


五、EP05精密度实验

EP05中提出的“批内不精密度”、“批间不精密度”的实验方案,是较客观地反映真实不精密度的估计。可惜,国内大多实验室并没有这样去做。期望大家花点精力,学习EP05实验方案。


目前EP5文件已经出了第三版(EP5-A3),内容较以往的版本要更加完整。但是,也使临床实验室在全面实施中引入了更多的困难。我正在学习中。因此这里,我还是按照EP5-A文件的内容做一个概要介绍。


1、EP05的精密度实验方案主要做法。可以概括成几句话:每天做2 批、每批做2份、连做20天。每批的两个结果间差异,就是对该样品早该批检测不精密度的具体表现。每天上、下午各做一批,20天就有40批。也即最后的数据为20天、40对、80个。将40对结果间的不精密度差异合在一起,将得到较客观的“批内不精密度”的估计。


每批做双份,每天做两批。将每批结果求均值,它代表这批检测的平均水平。一天内两批结果间的差异,代表了每天检测“批间”的不精密度差异。将20天的“批间”差异合在一起统计,得到了20天内批间不精密度的估计。由于这一的估计必然包含了批内不精密度的影响,通过方差估计的计算,可以得到批间不精密度的估计。


每批做双份、每天做两批,则两批4个结果的均值(也可以是各批结果均值的均值),代表当天对该样品检测的平均水平。


一共检测了20天,有20个每天的检测均值。将这些均值求一个总均值(也可以将80个结果去求均值)。所有每天均值对于总均值离散的程度,就是实验室“天间”的不精密度估计。将批内不精密度的标准差、批间不精密度标准差、和天间不精密度标准差以方差形式叠加,得到这20天对该实验样品、在实验的检测系统下、在该检验操作人员实施下,得到的精密度估计。多年前将这样的估计称为“总的不精密度”估计,以后认为这样不妥当,改称为“实验室内”不精密度(withinlabolatory imprecision)。现在对于实验室内不精密度的估计,已经包括了在实验室范围内,检测相同分析物的不同检测系统的精密度实验对不精密度估计综合,成为该实验室该分析物的实验室内不精密度。


这样认真的EP05实验方案,是否很完美地反映实验室在该分析物下的真实不精密度水平了吗?30年前,这些起草EP05文件的专家就已经想的很多、很远。他们是临床实验室的专家、质量管理专家、统计学专家、临床专家、和行政管理官员等的完整组合。


2、起草专家首先考虑的是该文件的目的。

本文件是为体外诊断(IVD)设施厂商和临床实验室方法的开发者,他们期望建立他们方法的精密度能力。也是为这些方法的用户,他们期望确认性能声明的验证,或简单地要求度量他们自己的精密度。自动检测程序的用户期望仅使用最简单的方案去确认厂商对精密度声明的验证的,应按照最近编辑的EP15-A2–用户展示精密度和准确度性能。该导则对这些情况是完全通用的,因为他们包括考虑精密度估计可靠性的目标。


3、在精密度性能确认和验证上的要求有区别。

针对我国大多实验室均为“已经修改了原厂商检测系统组成”的情况,所以,看来不是简单地去验证性能,应该是去确认自己性能(即:去建立实验室自行组合的检测系统性能)、或应该是建立这样新组合的检测系统的分析性能。若这样,鼓励使用EP05做法去确认精密度性能。


4、EP05的实验设计,着重看来还是考虑实验时间长短对精密度性能的影响。已经考虑到许多因素会影响精密度的结果。所以,在设计方案时,在EP5-A前文件上已经规定了:在一台仪器上、一个批号的试剂、一个批号的校准品、一个操作人员的条件下,得到的不精密度水平。在这样的条件下,实验时间成为最重要因素去区分不同精密度的结果。


实验设计没有合并特别单独估计其他可能的变异重要来源,如校准品或试剂批号的差异、或技师/操作人员的差异;但是,厂商应包括这样的因素,以及在不同场地的设施间的变异。影响精密度的其他因素,如样品准备、检测材料稳定性、交叉污染、和漂移等被包括在本方案中作为实验室内部精密度的来源,但没有分别估计。


在完整方案中会使用一个批号的试剂和校准品,但结果的解释(在合适时明确标记)必须包括这个事实,因为这样的结果会低估长期实验室内(或设施内)精密度。引入多批这些物质将增加观察的变异,尽管实验没有允许分别估计这些因素的影响,但会较好地反映检测系统在实际使用中的真实精密度性能。


上述内容明确告诉我们,对某个检测系统的精密度性能估计时,越与日常检验工作接轨的,估计的精密度越真实。不仅需要如EP05要求的,20天、40批、80个结果的做法;而且还应像平时那样:考虑多个操作人员轮班操作的、换用不同批号试剂和/或校准品批号校准、重新校准等,将这些日常的变异因素加到对精密度估计的影响,得到真实精密度水平。但决不可将任何更换试剂厂商、随意调整计算因子等不规范行为加进去!


六、验证实验室精密度性能

当前的实验室管理,要求实验室在使用检测系统检测患者样品、发出检测报告前,必须验证检测系统的分析性能,确认实验室分析性能符合厂商说明书中的性能声明(Claim)。问题是:厂商在建立分析性能中必须要比临床实验室的常规检测严密。为此,在EP05文件中对厂商建立性能提出了建议。可惜,全世界乃至我国,有那么多的试剂、仪器、和组合检测系统,在国内销售前均被我国的CFDA批准准许销售。可是,每家厂商在建立分析性能的严密性上太有问题了。


按照美国政府的认识,无论FDA对体外诊断产品的管理,还是CLIA对临床实验室的管理,均代表政府行为。因此,实验室使用的体外诊断产品必须得到FDA批准;实验室在使用前必须按照CLIA要求对分析性能验证(验收)。验证指标就是厂商的性能声明!因此厂商的性能指标成为国家要求实验室“遵守”的!在验证中,我们实验得到的精密度性能如何与厂商声明的精密度性能比较呢?


现在的做法很简单:在与厂商精密度指标采用的分析物浓度几近一致的条件下,只要实验室得到的标准差小于厂商的指标,该分析物项目的精密度性能被验证认可!我们的实验室管理部门从来没有考虑:厂商说明书中的精密度指标是否符合要求?实验室的实验方案是否符合要求?厂商大多也是选择方便的做!而且为了说明它们产品的质量优秀,数据会选择偏小的报告。


因此,实验室越是认真实验,得到的精密度标准差数据越客观,也许得到验证的机遇也越小!所以,也没有实验室愿意按照EP05文件要求实验,更不要说要如实进行。这样的做法实在是当今的严重弊病!也因为如此,在与厂商精密度指标比较时,两个不确切的精密度比较,很难说明究竟哪个精密度更真实!


为此,在EP05文件专家中,很早就认识到:单单将两个标准差放在一起在数量上去比较是不可靠的。注意,这些比较是一个浓度下的点的比较!影响可靠性大小的最后,在厂商没有说明实际得到标准差的实验方案、但又获得政府批准可用的情况下,只能假设厂商标准差的自由度为无穷大!


而实验室的验证实验也做的很简单,导至得到的精密度性能只能是“真实”标准差的一个很粗糙的抽样,也即不可靠的因素很多。因此与厂商精密度指标比较时,必须调整检测的自由度(degreeof freedom)。使实验室的标准差与厂商标准差比较大小的指标,应在相应估计的自由度下去判断。


在检查用户EP05和EP15的精密度结果是否与厂商“声明”的一致上,CLSI导则创建了卡方检验,而不是F检验,这是依据以下的考虑。在厂商说明书(Instructionfor Use,IFU)的精密度表中,“声明”代表了有关行政机构批准的标记(Labeled)标准差。[我对这段话的理解是:厂商的标准差经FDA批准后,已经成为实验室必须要实现的目标。]


但是,厂商没有明确说明,它们的精密度具体是怎样实验得到的。也即不可能确定与厂商估计有关的自由度,正如应用F检验要求的。也没有任何厂商在进行重复性实验中,是否进行多个试剂批号、多个仪器的实验。缺少这个和其他信息。


用户简直没有任何选择去处理厂商说明书的值;而用户必然处于需要去评估估计自由度的信息。再者,正如前述,实验室本身估计的标准差也有很多不足的地方。一个做法是调整比较时的自由度。一般来说,自由度越小(相当于重复检测次数),得到的抽样标准差值具有的可信性较差,即标准差的可信区间很大。


专家介绍,F检验的自由度完全由比较的两个标准差实验自身各自重复次数决定,没有可以调整的做法,所以,在统计上为统计功效上能力较差。相比之下,卡方检验(χ2)在比较标准差差异上具有较好的统计功效。这也是我以往都不懂的地方,至今依然非常模糊。


请教了工业上的有关精英,他们告知在统计上确实有使用卡方检验比较标准差的内容。


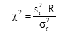
在前述实验得到的精密度估计,应与设施精密度的性能声明进行比较。应使用以下叙述的卡方(χ2)统计。为使用这个方法,性能声明被表示为一个点的估计(即,一个标准差)。重复性和综合精密度的估计应分别进行比较。


性能声明标准差(

)须注明。卡方检验使用了用户和厂商的重复性估计二者的平方。必须知道(即用户估计的批内方差)与自由度个数的关系。在本方案叙述的实验中,将具有用来计算批内标准差的数据成对(批内重复检测)那样大的自由度。这样,这将等于实验中的批数,以R注明。检验涉及的计算如下:

检验涉及的计算如下:


 

 

式中:

   

为用户估计的重复性变异方差;

   

为厂商重复性变异声明的方差;

 R为批的总数(为  的自由度)。

因为重复性次数为80,所以R就是(80-1)。


应使用上述一样的卡方检验,将实验室内(设施内)精密度与厂商声明进行比较。不像重复性估计,计算ST实际自由度涉及了复杂的计算。因为方案的结构,用户不可假设所有观察值是独立的,去使用习惯估计的自由度(总观察数减1)前的必要假设。以下公式对于ST的自由度T考虑了确实独立性。


附:ST为实验室内标准差。

卡方计算:

 

式中:

为用户估计的实验室内(设施内)标准差的平方值。

为厂商声明的设施标准差的平方,或医学上要求的标准差的平方。

 T =

的自由度。

设:ME = (批内均方差,或重复性方差);

    MR =

(所有批的均方差);

    MD =

(所有天的均方差)。

    I为实验天数。

    有关A和B,请同道阅读EP文件。

T的计算较复杂:

    将计算的“自由度”T代入前述的公式,计算出实验室内标准差与厂商声明标准差比较的卡方值。在相应自由度下与临界卡方值比较。计算卡方值小于临界卡方值的,表示实验室内标准差与厂商声明标准差没有显著差异;反之,具有显著差异。

 

七、总结

由于临床实验室检验的特殊做法,全球临床实验室对每个患者标本进行各个分析物的做法,在没有特殊情况下,均对每个分析物只做单次检测就发出报告。临床和患者关注检测结果是否满意的认识,是再做一次的结果是否一样。因此实现重复性是第一位的大事。千万不可疏忽。


30余年前,美国临床实验室标准化委员会(NCCLS)已经考虑到多方需求和影响精密度的各个因素,写就了EP05文件。完成一个重复性实验方式多样,为了患者样品检测结果的可靠性,必须充分考虑众多影响因素,以适当方式得到可靠的精密度估计。


我在临床实验室领域内从事工作和学习50年了,但是还有许多方面需要我继续努力学习的。精密度是我将其视为临床实验室的关键所在。几乎所有的临床检验问题大多均由此产生。因此始终关注和重视精密度性能是解决问题的基础起点。我愿意与临床实验室的同道一起,为提高临床实验室地位去努力,依靠自身的提升,让临床和患者认可。临床实验室的地位只能靠自己去争取。


在与CLSI交流中, Dr. Neill Carey专家告诉我: “在EP15-A2中的方法比较实验,在EP15-A3中删除。在EP-15A3中,我们不再比较两个方法精密度的估计。”“我们做了实验去评估在EP15(A2和A3)中一个方法的精密度。我们将观察(计算)标准差与厂商声明的标准差做比较。若观察到的标准差超过厂商声明的标准差,我们计算了厂商声明标准差的确认限值,将观察到的标准差与确认限值比较。如果观察到的标准差超出确认限值,仅有5%的可能性,认为观察到的标准差超出确认限值因机遇所致;即观察到的标准差确实高于声明的标准差。”这两个文件已经正式发布。新的文件不再要求临床实验室对验证中实验精密度超出厂商声明精密度,进行统计检验。这无疑是简化了验证程序。

声明:
1、凡本网注明“来源:小桔灯网”的所有作品,均为本网合法拥有版权或有权使用的作品,转载需联系授权。
2、凡本网注明“来源:XXX(非小桔灯网)”的作品,均转载自其它媒体,转载目的在于传递更多信息,并不代表本网赞同其观点和对其真实性负责。其版权归原作者所有,如有侵权请联系删除。
3、所有再转载者需自行获得原作者授权并注明来源。

最新评论

关闭

官方推荐 上一条 /3 下一条

客服中心 搜索 洽谈合作
返回顶部