立即注册找回密码

QQ登录

只需一步,快速开始

微信登录

微信扫一扫,快速登录

搜索
小桔灯网 门户 资讯中心 注册认证 查看内容

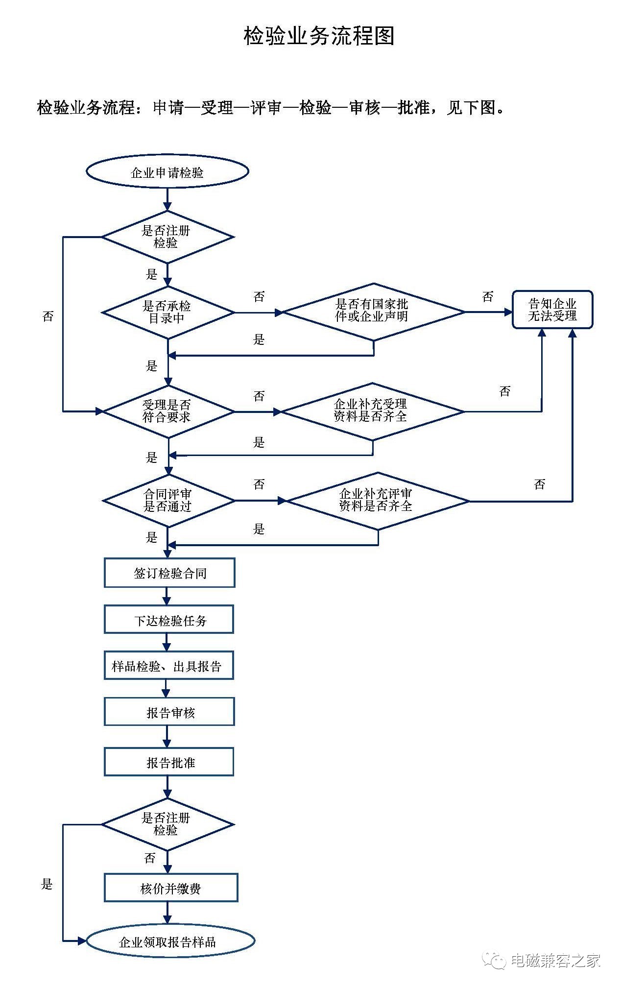
江苏-浙江-上海三地医疗器械企业电磁兼容送检必备【收藏】

2018-1-10 15:31| 编辑: 小桔灯网| 查看: 3824| 评论: 0|来源: 电磁兼容之家

摘要: 为医疗器械企业收集了关于产品要做电磁兼容注册检验的注意事项,怎么送,送之前怎么做,怎么做可以加快节省时间?tips(1):知道自己企业的产品是几类?送哪个EMC实验室?哪个实验室可以接收?检验周期大概多久?要 ...


为医疗器械企业收集了关于产品要做电磁兼容注册检验的注意事项,怎么送,送之前怎么做,怎么做可以加快节省时间?


tips(1):知道自己企业的产品是几类?送哪个EMC实验室?哪个实验室可以接收?检验周期大概多久?要测试哪几个项目?哪些项目可以豁免等。尤其2017年取消检验收费后,要快速找到自己企业送检的实验室。

tips(2):注意产品证书到期时间,提前做好送检换证准备。以目前的情况来看,提前一年做产品电磁兼容的注册检验为最佳,再迟会显匆忙。

tips(3):提前对医疗器械电磁兼容性问题做好了解,对自己企业的产品在EMC方面哪些容易出现问题做好预防。提前做好送检资料的准备,包括产品说明书,技术要求,送检资料等(各省市不尽相同,可以互相参考)。

tips(4):做好产品EMC预测试评估。目前各大省市的EMC检测实验室任务量繁重,企业送检积压产品严重,所以为节省检测所和企业本身的时间,送检之前做好预测试评估,评估结果达到送检要求再送。这样可以提高检测所检测效率,加快企业拿证速度。

tips(5):注意产品电磁兼容问题与安规问题的矛盾。目前很多设备解决了电磁兼容问题,随之而来带来了产品的安规不通过的问题,所以要协调好这两个问题。

tips(6):做好医疗器械产品后期EMC抽检准备。医疗器械电磁兼容后期抽检已是必然,如何做好在拿证合格的情况下,也能顺利通过抽检,如何把电磁兼容问题和量产问题结合起来,这是企业基于本身情况要考虑的问题。

tips(7):本省市没有电磁兼容检测实验室的医疗器械企业,抓紧与当地药检所沟通联系,寻求推荐的EMC实验室或者自行提前找好注册检验或者委托检验的检测实验室。


下面整理了江浙沪三家医疗器械电磁兼容实验室的一些信息,希望对医疗器械企业有帮助,具体有问题可以联系检测所咨询或者添加本人微信咨询。(欢迎指正)


【江苏】

 江苏省医疗器械检验所组建于2001年,前身是江苏省医疗器械产品质量监督检验站(成立于1984年),是直属于江苏省食品药品监督管理局的全额拨款事业单位。专业从事医疗器械产品、药品包装产品的注册检验、市场监督检验及社会各方的委托检验、质量仲裁检验等检测工作,并从事有关技术培训和业务指导工作。

   经过20多年的发展,我所在设备条件、人员水平、技术能力上都取得了长足发展。现办公地点位于南京市建邺区康文路17号,功能结构完善,设施齐全,建筑面积约15000平方米,承检的医疗器械产品范围涵盖了物理、化学、生物、微生物、电子、光学、磁学、电气等领域。

    目前已获得SFDA通过的认可项目为962项,且已获得中国实验室国家认可委员会的国家实验室认可。
    泰州分所和苏州分所相继挂牌成立后,更加优化、提升了对苏北、苏中、苏南地区的服务能力和水平。

欢迎扫码关注江苏省医疗器械检测所微信公众号

电磁兼容检测样品及送检材料要求

送检时需提供的样品及送检材料如下(其中产品标识、使用说明书、技术说明书国内注册提供中文版本,出口认证提供英文版本):

1) 被检样机及附件;

2) 使用说明书(检验是否符合YY0505-2012中6.8.2.201的条款);

3) 技术说明书(检验是否符合YY0505-2012中6.8.3.201的条款);

4) 产品标识、标记

-设备或设备部件的外部标识(检验是否符合YY0505-2012中6.1.2011的条款);

-警示(检验是否符合YY0505-2012中6.1.201.3的条款);

5) 如有提供产品的风险报告文件(针对产品基本性能的风险或者临床对于基本性能准确度的要求);

6) 说明样机中产品结构(如几种探头、是否包含电源适配器等等);

7) 样机中EMC主要关键元器件(如开关电源、滤波器、及变压器等)详细资料、测试报告和(或)证明材料;

8) 样机电路图(网电源部分、应用部分、电路板等详细电路图);

9) 样机结构图(结构图、装配图);

10) 样机PCB布板图(包括各电子部件的位置图);

11) 产品的运行模式不能通过标配软件或其它方式来实现,以及产品的基本性能有关的功能在常规操作不能被观察或验证,应提供专业软件或类似的方法;

12) 填写EMC相关的表格,填写的内容详见表D1~表D8,以及承诺书(加盖公章)。

备注:如果按GB/T18268.1-2010《测量、控制和实验室用的电设备电磁兼容性要求》标准测试的设备,或其他不适用于YY0505-2012的医用电气设备,请参照其他相关要求。

附件[右键下载]: 电磁兼容送检材料要求(http://www.jsmit.org.cn/index.php 登陆网站自行下载)


实验室地址:

(1)江苏省医疗器械检验所(南京市建邺区康文路17号)

前台电话:025-69655600 业务电话:025-69655908   025-69655906 业务传真:025-69655907

(2)江苏省医疗器械检验所苏州分所

地址:苏州高新区科技城锦峰路8号1#楼
业务电话:0512-66806601   0512-66806602
业务传真:0512-66806603

邮编:215163



【浙江】

        浙江省医疗器械检验研究院(MDST),成立于1977年,浙江省食品药品监督管理局(ZJFDA)的直属事业单位,是国家食品药品监督管理总局(CFDA)的10个国家级医疗器械检验中心之一,是一家专业从事医疗器械质量监督检验和医疗器械产品认证检测的国家级检验机构。


医疗器械电磁兼容送检要求及资料下载    见下图:

医疗器械电磁兼容检测委托书合同下载    见下图:


实验室地址:杭州市下沙经济技术开发区25号大街379号



【上海】

 上海市医疗器械检测所(CmTC)是中国合格评定国家认可委员会、国家食品药品监督管理总局及中国质量认证中心等有关部门分别审查认可的国家级医疗器械质量监督检验机构、医疗器械产品认证检测指定实验室,是上海市食品药品监督管理局的直属单位。

 本所2000年得到了欧洲著名认证机构德国TUVPS的认可与授权,在医疗器械通用电气安全及电磁兼容检测方面,向国内、外申请产品CE认证的客户出具检测报告,为我国的医疗器械产品走出国门、进入国际市场提供了便捷的通道,同时也是美国UL授权的目击见证实验室。


 电磁兼容检测室
 
电磁兼容检测室主要承担下列产品的电磁兼容检测:

  • 心脑电、监护设备 物理治疗康复设备

  • 高频、射频设备 微波、短波设备

  • 麻醉和呼吸设备 体外诊断设备

  • 医用超声设备 医用光学设备

  • 手术室设备 输液注射设备

  • 口腔科设备 其他各类医用电气设备

  • 电磁兼容检测室拥有屏蔽室、电波暗室等试验场地,以及全套电磁兼容检测的相关设备,由专业检测工程师按下列标

  • 进行产品的电磁兼容检测:

  • YY0505-2005《医用电气设备第1-2部分:安全通用要求并列标准:电磁兼容要求和试验》

  • GB/T 18268-2000《测量、控制和实验室用的电设备电磁兼容性要求》


YY0505-2012检验申请材料-电磁兼容资料审查表下载   见下图

新所地址:上海市浦东新区国际医学园区金银花路1号 电话:+86(21)38019900(总机)  传真:+86(21)38019817  邮编:201318

声明:
1、凡本网注明“来源:小桔灯网”的所有作品,均为本网合法拥有版权或有权使用的作品,转载需联系授权。
2、凡本网注明“来源:XXX(非小桔灯网)”的作品,均转载自其它媒体,转载目的在于传递更多信息,并不代表本网赞同其观点和对其真实性负责。其版权归原作者所有,如有侵权请联系删除。
3、所有再转载者需自行获得原作者授权并注明来源。

最新评论

关闭

官方推荐 上一条 /3 下一条

客服中心 搜索 洽谈合作
返回顶部